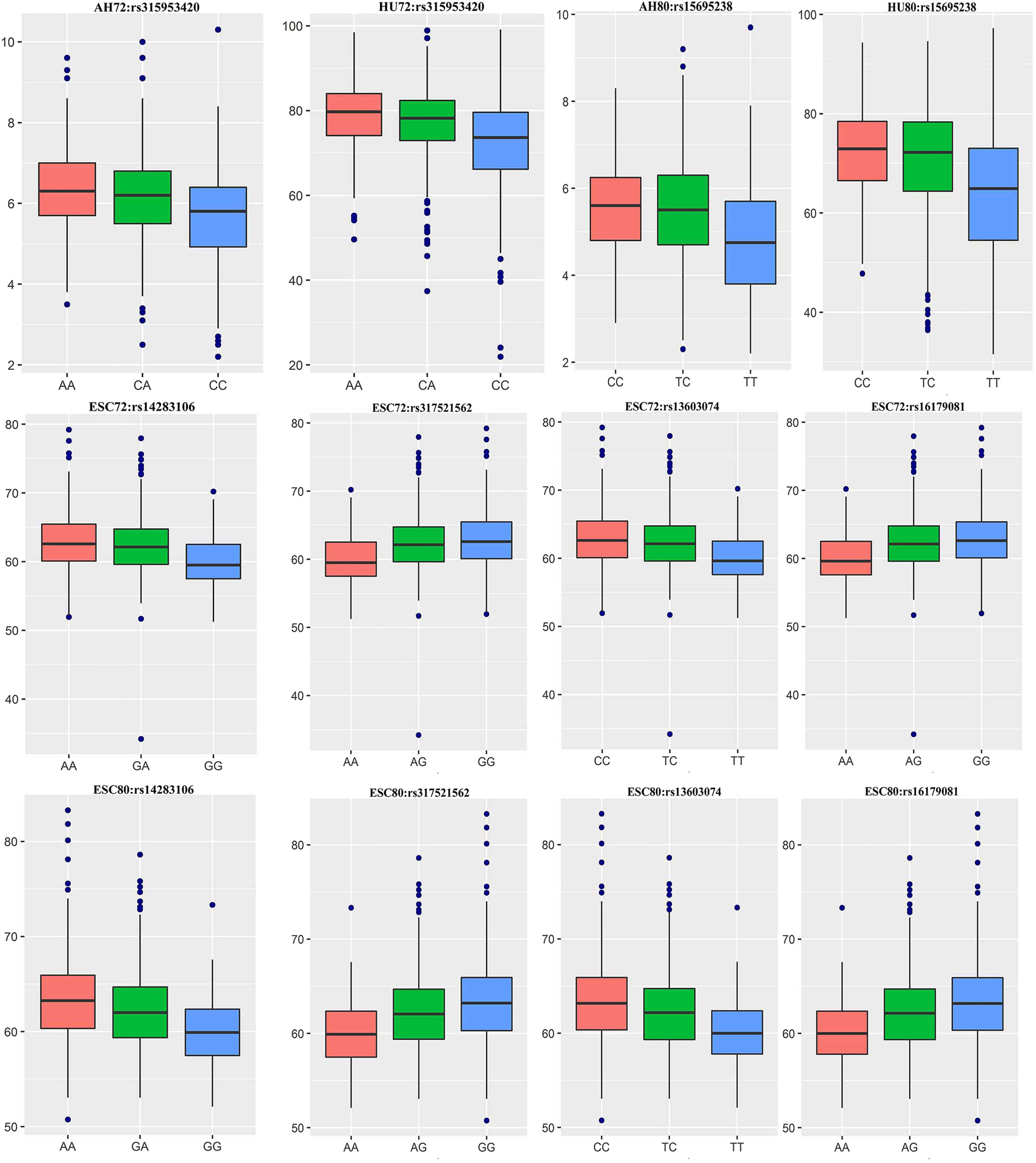
Figure 6

Boxplots of SNP effects on AH, HU and ESC at 72 and 80 weeks of age. The figure shows the genotypes of six representative SNPs (x-axis) versus the phenotypic values of the corresponding traits (y-axis). AH, HU and ESC represent albumen height, haugh unit and eggshell colour, respectively.