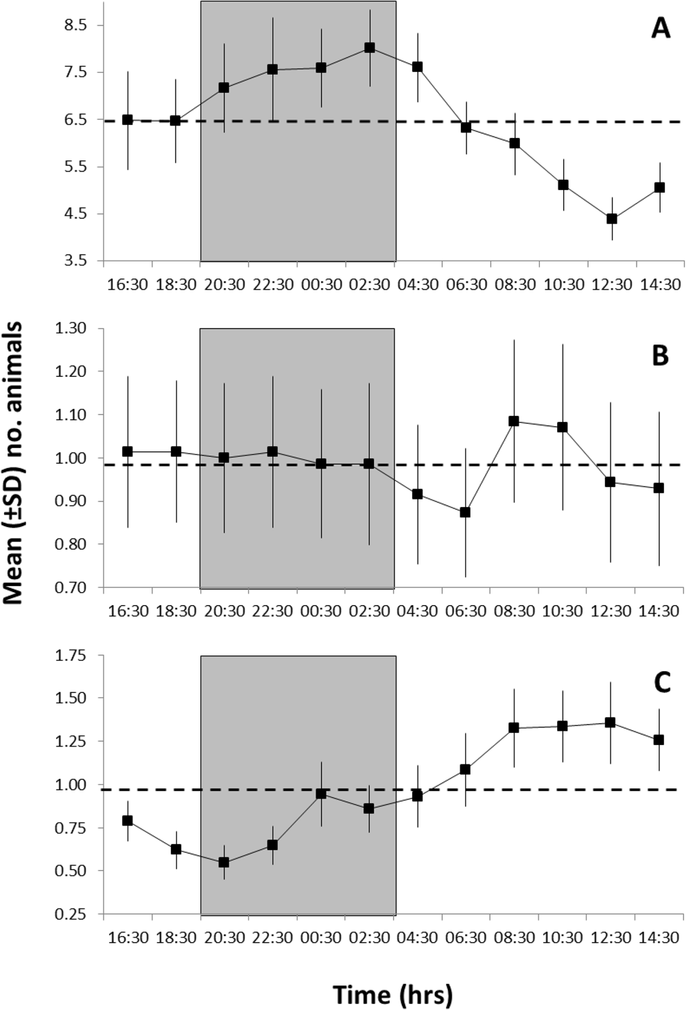
Figure 5

Waveform analysis output for the visual count time series of: (A) scavengers (and facultative predators); (B) detritivores; and finally, (C) predators. Plots indicate the occurrence of significant abundance peaks shifted in time (i.e. values above the MESOR as horizontal dashed line). MESORs are: (A) 6.48; (B) 0.99; (C) 097. Grey rectangle depicts approximated night duration at the latitude of the study site.