Figure 4
From: Gonadal steroid levels in rock pigeon eggs do not represent adequately maternal allocation

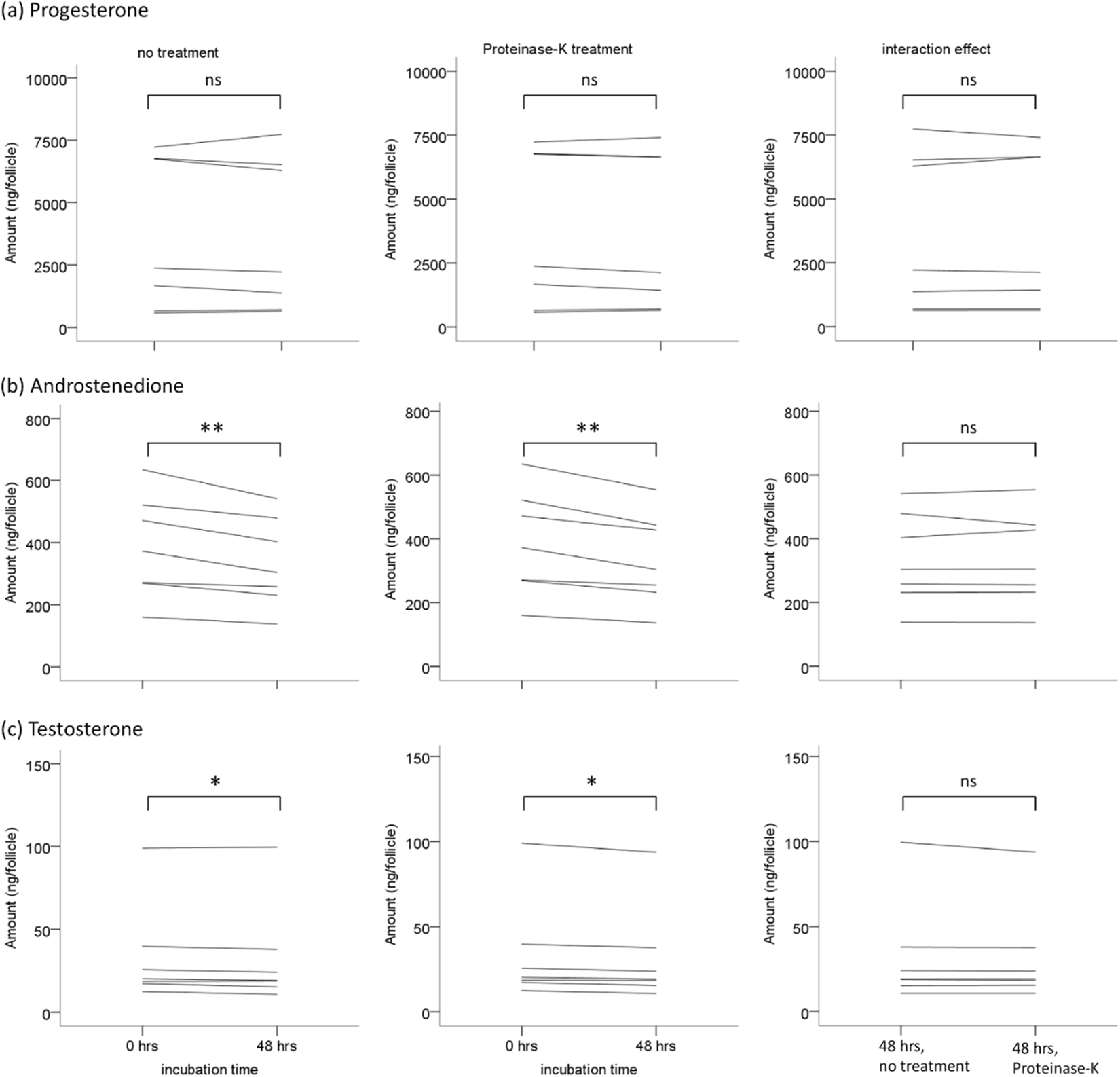
Effect of incubation duration, equivalent to the time difference between ovulation and oviposition on follicular yolk hormone levels with and without Proteinase-K treatment prior to incubation. n = 7; *p < 0.05; **p < 0.01.