Figure 3

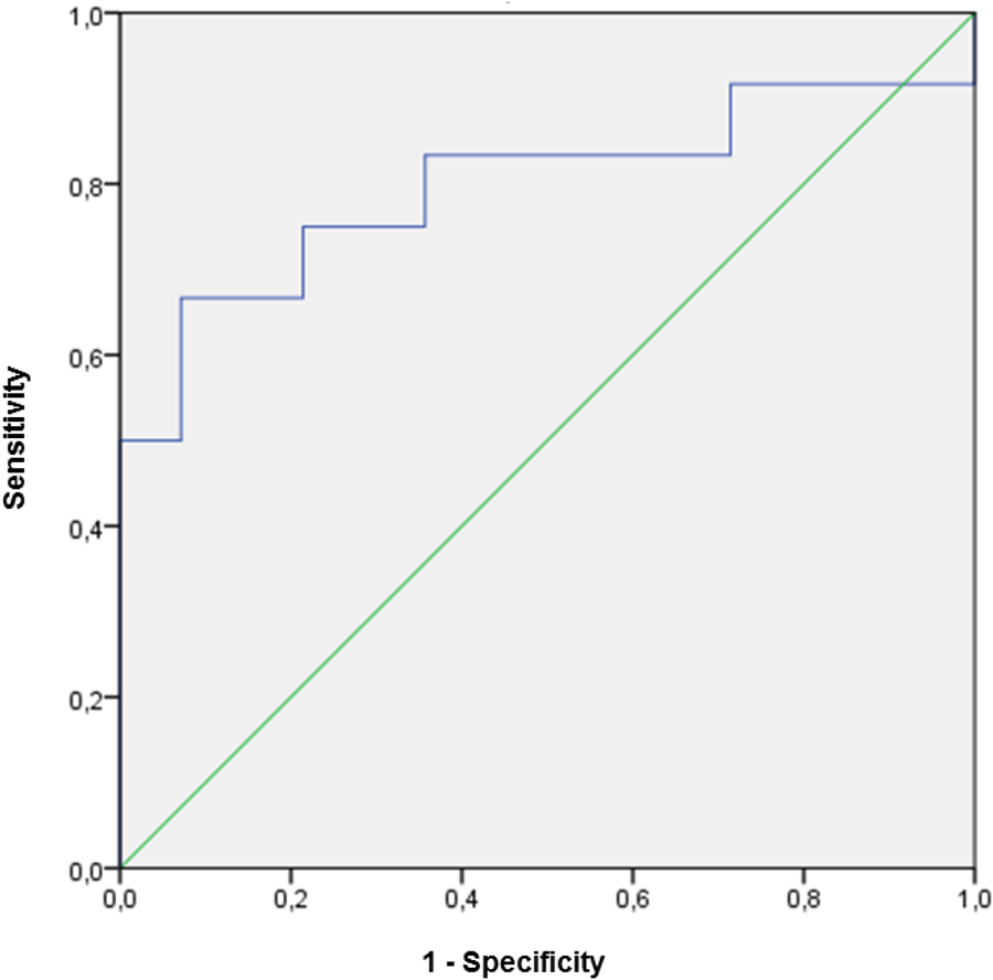
ROC curve of ANGPTL4 concentration at week 15 of pregnancy for predicting gestational weight gain higher than recommended. Standard errorā=ā0.01; 95% CIā=ā0.61 to 0.99; Pā<ā0.01.

ROC curve of ANGPTL4 concentration at week 15 of pregnancy for predicting gestational weight gain higher than recommended. Standard errorā=ā0.01; 95% CIā=ā0.61 to 0.99; Pā<ā0.01.