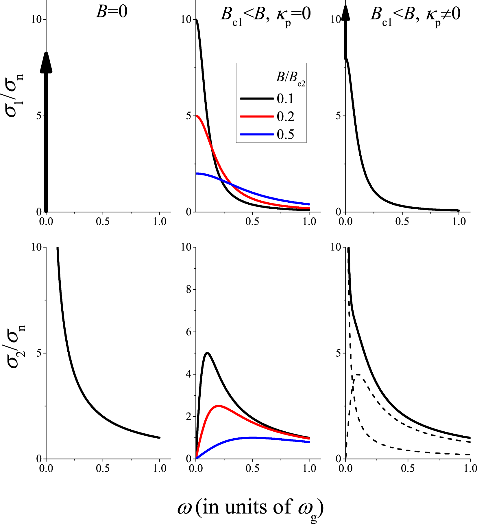
Figure 2
From: Giant microwave absorption in fine powders of superconductors

Illustration of \(\tilde{\sigma }(\omega )\) in superconductors for i) B = 0, ii) for finite fields (B > Bc1) with κp = 0 (the Bardeen–Stephen case), and iii) for B ≠ 0 and a finite κp (the case of the CC theory). Conductivity above the superconducting gap, ωg, is not shown. The spectral weight in the delta function is preserved for B ≠ 0. Note that for κp ≠ 0, the conductivity appears as if it were a sum of \(\tilde{\sigma }\)’s for the B = 0 and the BS flux-flow regimes (shown with dashed curves). Of the two components, the σ1 ∝ δ(ω) and σ2 ∝ 1/ω is due to vortex pinning.