Figure 3

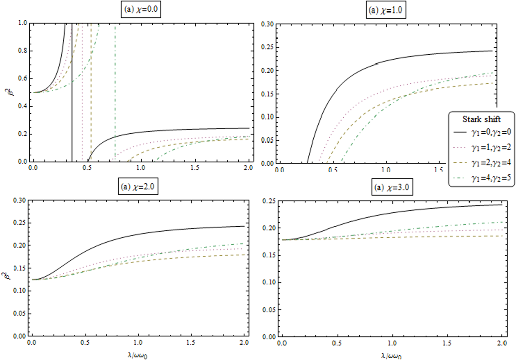
Macroscopic excitations for atom β2 as a function of coupling parameter λ/ωω0 for different coupling strength χ and Stark shift parameters.

Macroscopic excitations for atom β2 as a function of coupling parameter λ/ωω0 for different coupling strength χ and Stark shift parameters.