Figure 4

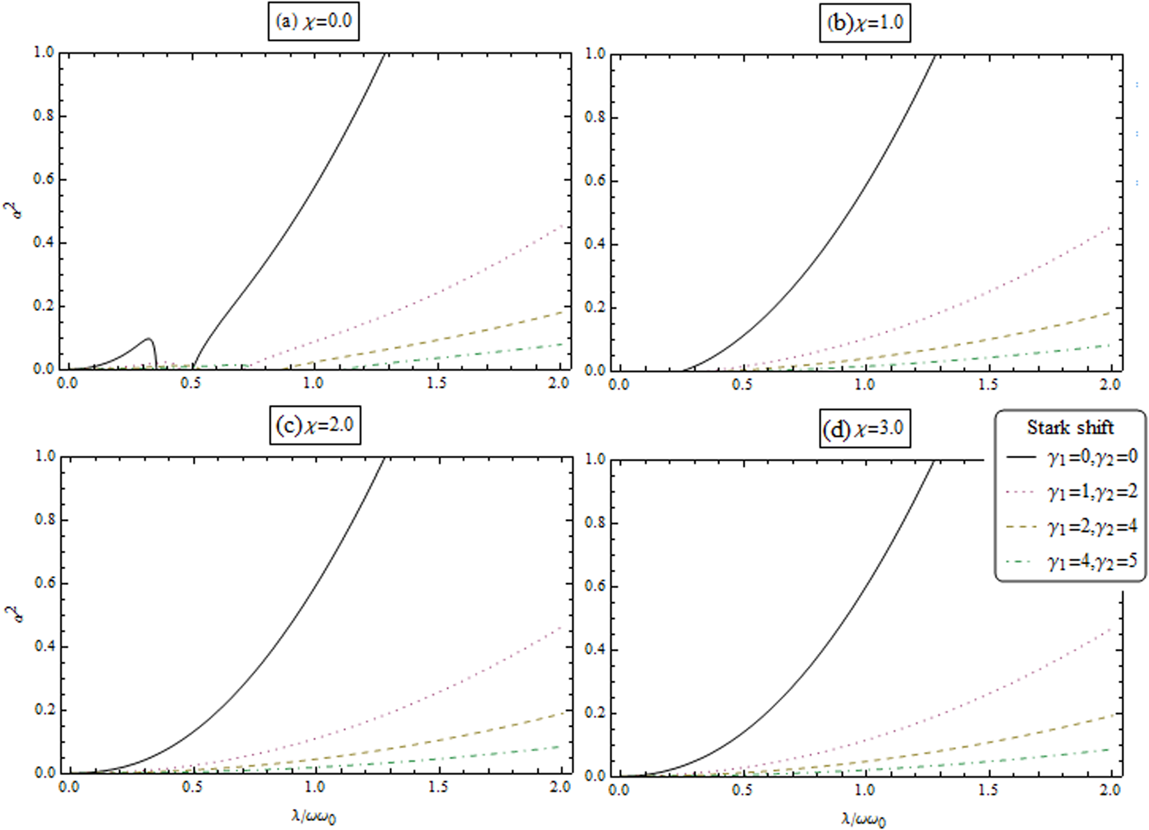
Macroscopic excitations for photon α2 as a function of coupling parameter λ/ωω0 for different coupling strength χ and Stark shift parameters.

Macroscopic excitations for photon α2 as a function of coupling parameter λ/ωω0 for different coupling strength χ and Stark shift parameters.