Figure 5

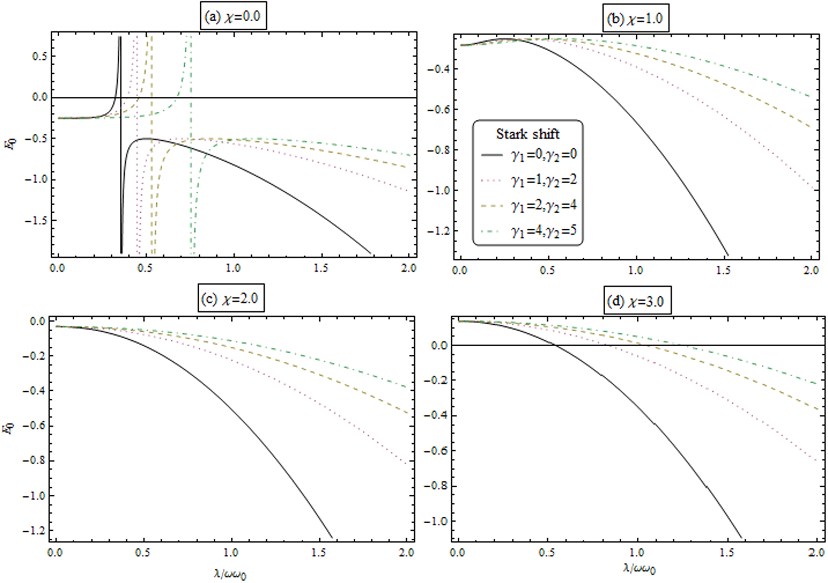
The scaled ground-state energy E0 as a function of BEC-cavity coupling parameter λ/ωω0 for different coupling strength χ and Stark shift parameters.

The scaled ground-state energy E0 as a function of BEC-cavity coupling parameter λ/ωω0 for different coupling strength χ and Stark shift parameters.