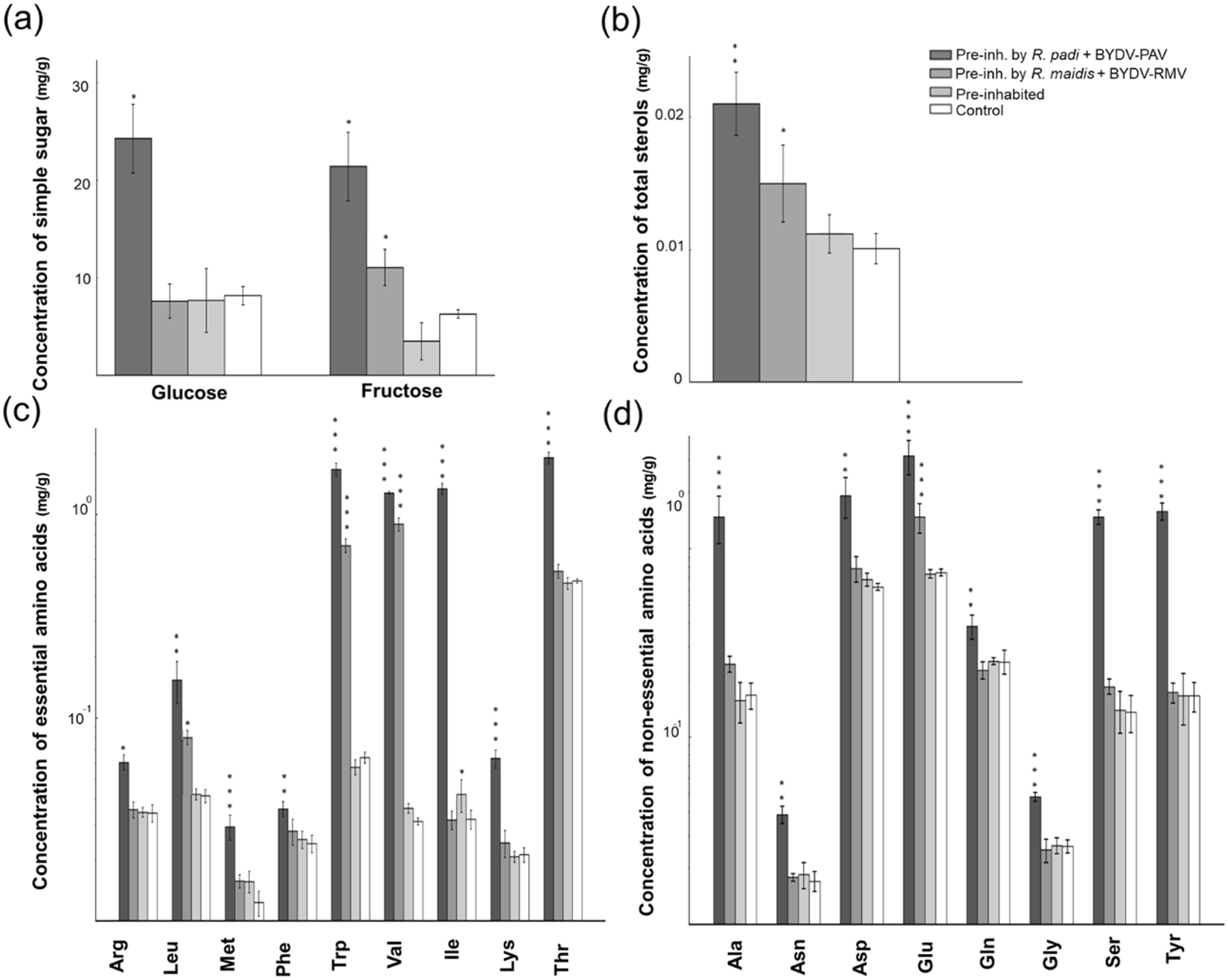
Figure 3
From: A plant virus (BYDV) promotes trophic facilitation in aphids on wheat

Viruses transmitted by R. maidis and R. padi increased the availability of nutrients in wheat leaves relative to control plants consisting of uninhabited virus-free plants (Dunnett’s test comparing each nutrient type to control group, * = differences at α = 0.05–0.01; ** = differences at α = 0.01–0.001; *** = differences at α ≤ 0.0001). (a) Simple sugars, (b) total sterols, and amino acids: (c) essential, (d) non-essential for aphids (N = 4).