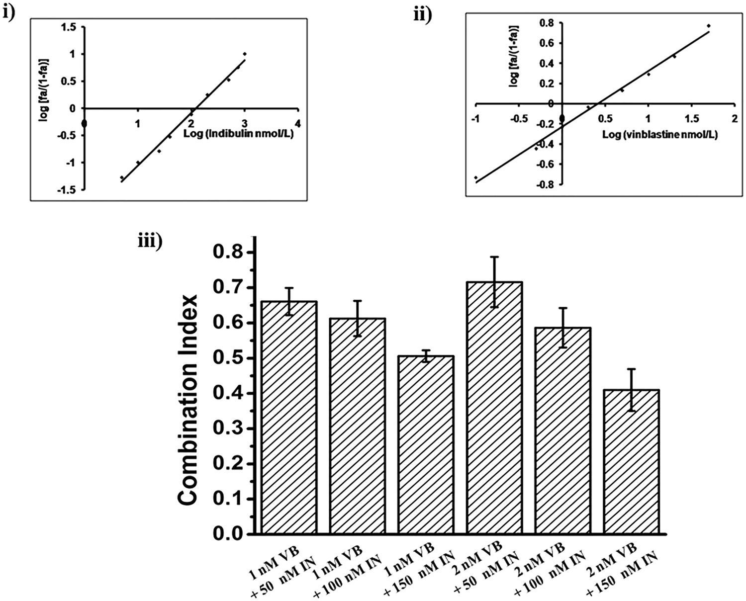
Figure 7

Indibulin and vinblastine exert synergistic anti-proliferative effects on MCF-7 cells. The median dose plot for the inhibition of cell proliferation in the presence of indibulin (i) and vinblastine (ii) is shown. Histogram (iii) shows the combination indices for the combination of indibulin (IN) with vinblastine (VB). Data are average of three independent experiments and represent mean ± SD.