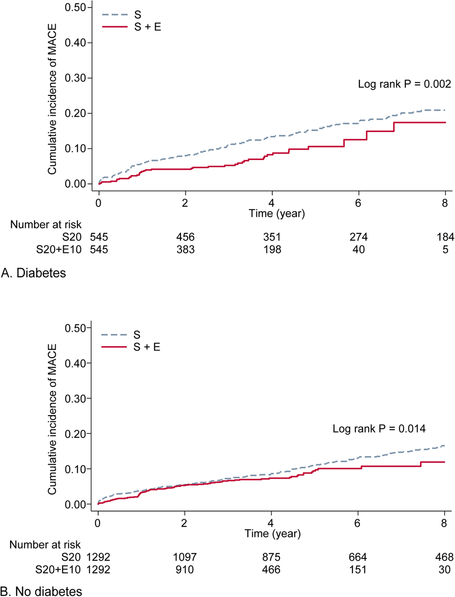
Figure 2

Kaplan-Meier curves for major adverse cardiovascular events (MACE) among simvastatin 20 mg alone and simvastatin 20 mg plus ezetimibe 10 mg groups stratified by the presence of diabetes. S indicates individuals treated with simvastatin 20 mg alone and S + E indicates individuals treated with simvastatin 20 mg plus ezetimibe 10 mg. The cumulative incidence of MACE in S (dash line) and S + E (solid line) group was compared (A) in individuals with diabetes and (B) those without diabetes.