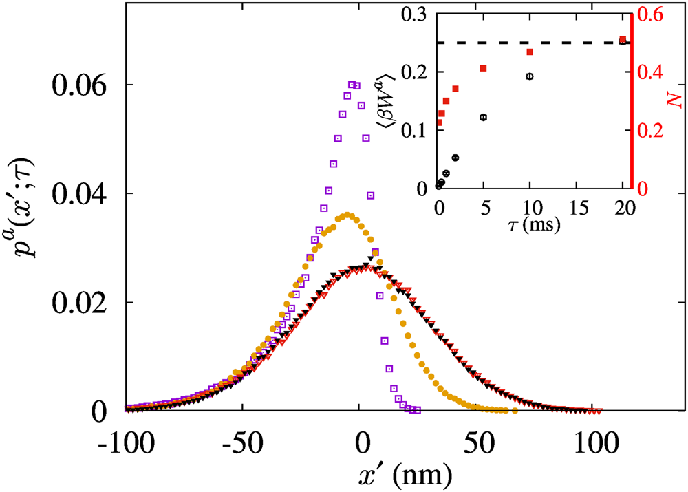
Figure 3

Normalized probability distributions of the particle position for various τ in the asymmetric feedback scheme. The purple open squares, orange solid circles and red open triangles correspond to τ equal to 200 μs, 2 ms, and 20 ms, respectively. The black solid triangle data correspond to the equilibrium distribution that was obtained by measuring the particle position without feedback. Inset: Plot of average work extraction per period denoted by black open circles and the probability of finding a particle at x′ > 0 denoted by red solid squares, as functions of τ. The error bars denote the standard error of the mean. The dashed horizontal line equal to kBT/4 or 1/2.