Figure 2
From: Epidemic history of hepatitis C virus genotypes and subtypes in Portugal

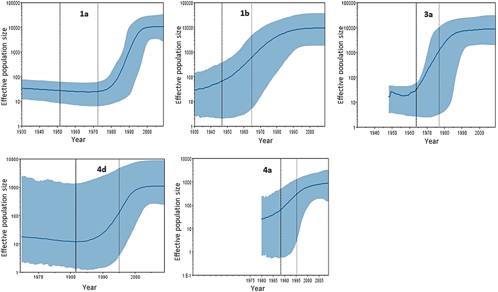
Epidemic history of HCV subtypes in Lisbon, Portugal. Bayesian skyline plot (BSP) showing the epidemic history of the most prevalent HCV subtypes (1a, 1b, 3a, 4a and 4d) found in patients attending the Hospital Santa Maria of Lisbon, Portugal. The solid blue line represents the changes in the mean effective population size through time on a log10 scale, with the blue shaded area corresponding to the 95% highest posterior density (95% HPD) interval. The bold dotted and faint dashed black vertical lines represent the median and upper boundaries of the time to the most recent common ancestor (MRCA) respectively. For GT4d, plots were built using additional sequences from Portugal (n = 14) retrieved from GenBank.