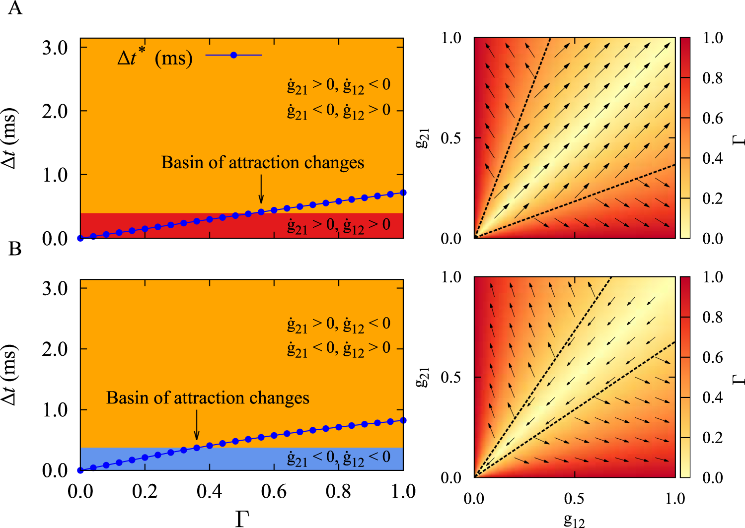
Figure 4

Dependence of the two-neuron results on the relative synaptic strength. (Left panels) The interplay between fixed point of the time lag \({\rm{\Delta }}{t}^{\ast }\) and relative synaptic strength Γ determines the final stable connectivity pattern. Colors show the type of the final synaptic connectivity pattern: Bidirectional (red), unidirectional (orange), and decoupled (blue). The blue curve denotes Δt* calculated from Eq. (9). (A) ν = 80 Hz and τa = 0.3 ms. (B) ν = 80 Hz and τa = 1.0 ms. The dendritic propagation delay is τd = 0.5 ms. (Right panels) The color-coded relative synaptic strength Γ is shown based on the synaptic strengths from Eq. (1). The vector field is the same as in Fig. 1.