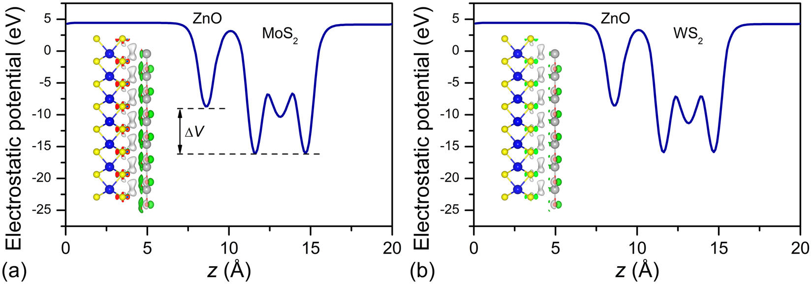
Figure 4

Potential drop across the interface of the (a) MoS2/ZnO and (b) WS2/ZnO vdW heterostructure. The isosurface of charge difference (set to 0.003 e/Å3) is also shown in the corresponding figure; the yellow and cyan regions denote the gain and loss of electrons, respectively.