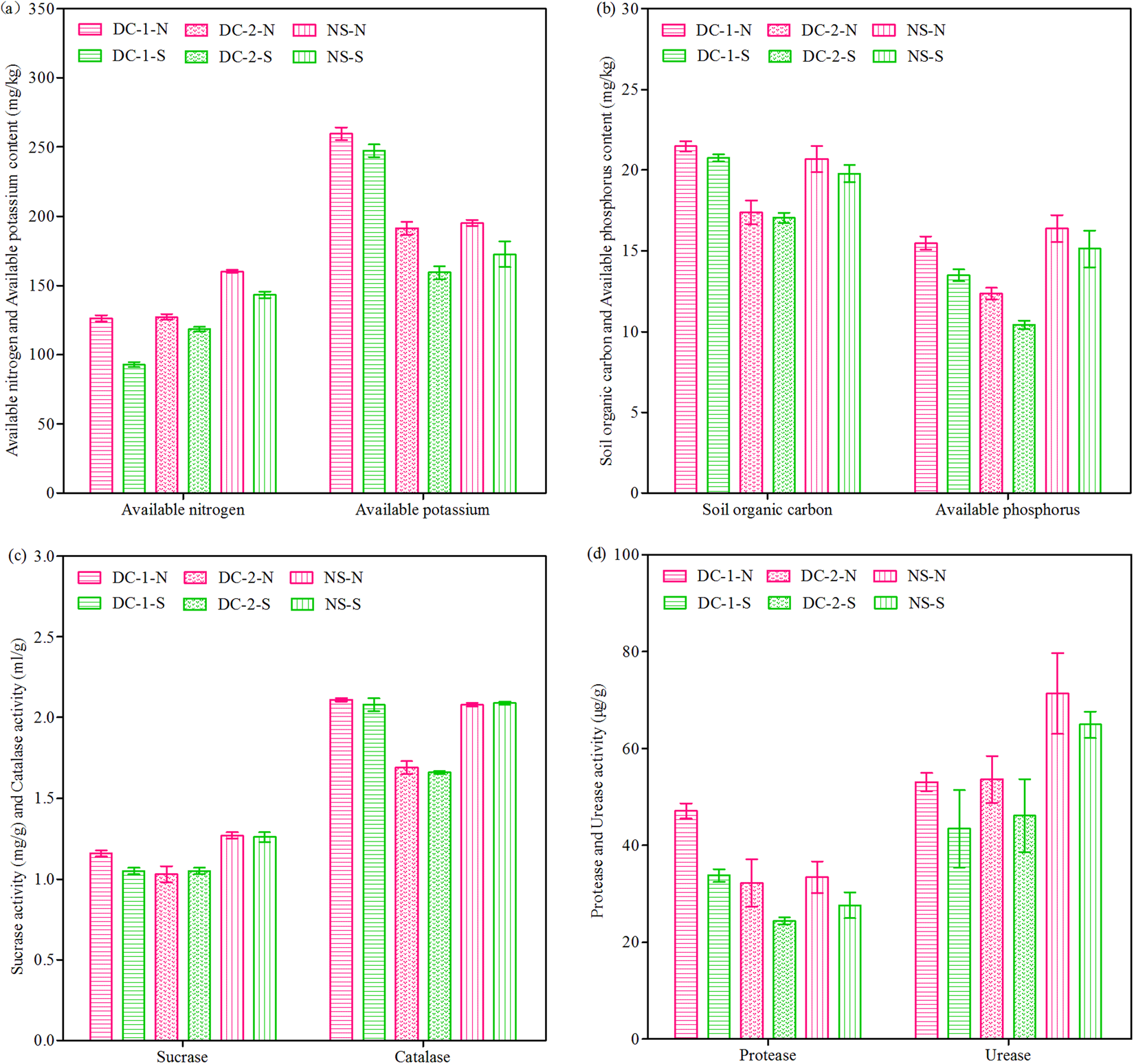
Figure 3

Selected basic soil chemical properties and enzyme activities of slope soils. Notes: DC-1-N: Dazhou-Chengdu line–north-facing slope; DC-1-S: Dazhou-Chengdu line–south-facing slope; DC-2-N: Dazhou-Chengdu second line–north-facing slope; DC-2-S: Dazhou-Chengdu second line–south-facing slope; NS-N: natural–north-facing slope; NS-S: natural–south-facing slope.