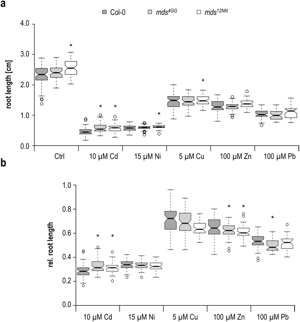
Figure 7

Root growth on different heavy metal and trace element exposures. (a) Absolute root lengths of five days old seedlings on medium containing indicated concentrations of heavy metals and trace elements. (b) Root lengths of (a) normalized to the root lengths of seedlings on control medium. Center lines show medians of up to 60 seedlings from three independent experiments; box limits indicate the 25th and 75th percentiles as determined by R software; whiskers extend 1.5 times the interquartile range from the 25th and 75th percentiles, outliers are represented by dots. Stars indicate significant difference according to Student’s t-test with *p < 0.05 to wildtype.