Figure 1

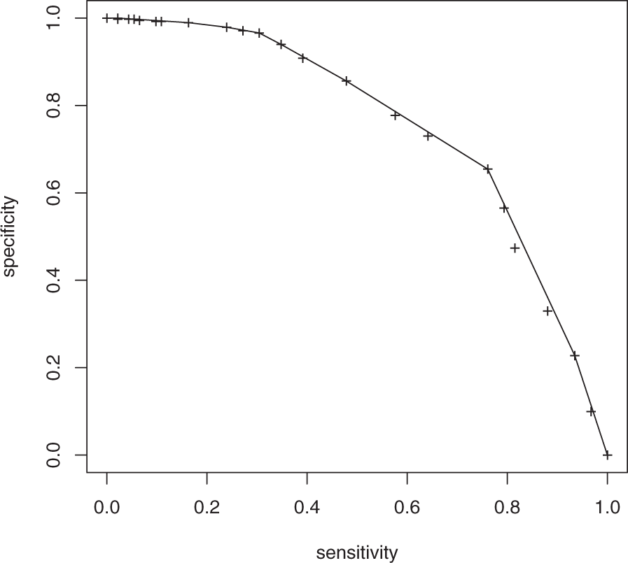
ROC curve (convex hull) for prediction of postpartum EPDS score ≥10 from antenatal EPDS scores (AROC 0.756) at various cut-offs (crosses).

ROC curve (convex hull) for prediction of postpartum EPDS score ≥10 from antenatal EPDS scores (AROC 0.756) at various cut-offs (crosses).