Figure 11
From: Emergence of different crystal morphologies using the coffee ring effect

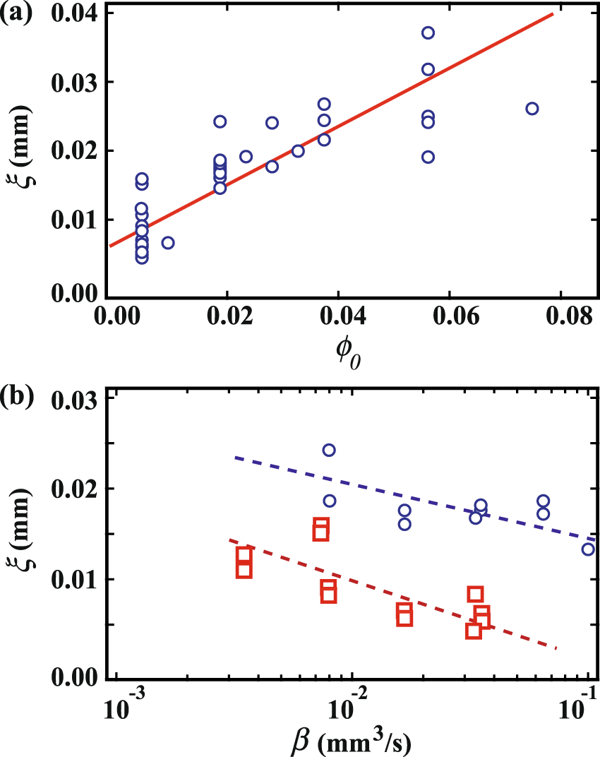
(a) ξ as a function of ϕ0. (b) ξ as a function of β at fixed ϕ0. Circles and squares correspond to ξ at ϕ0 = 1.9 wt% and 0.47 wt%, respectively. It is found that ξ increases with increasing ϕ0 or with decreasing β.