Figure 7
From: Emergence of different crystal morphologies using the coffee ring effect

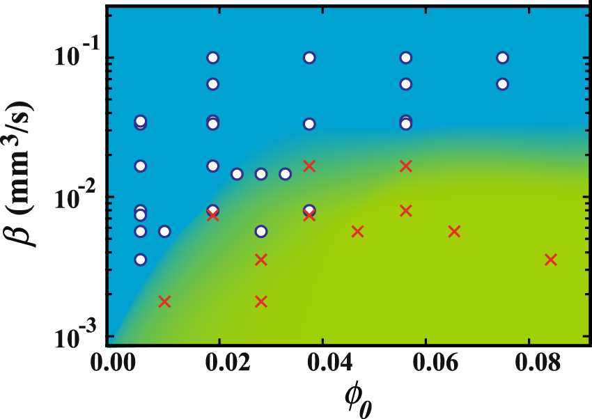
Diagram of CC and DD patterns as a function of β and ϕ0. Open circles and crosses correspond to CC and DD patterns, respectively. Near the boundary, we observe both patterns or an intermediate pattern which is radially periodic but laterally random.