Figure 5
From: Phase Modulators Based on High Mobility Ambipolar ReSe2 Field-Effect Transistors

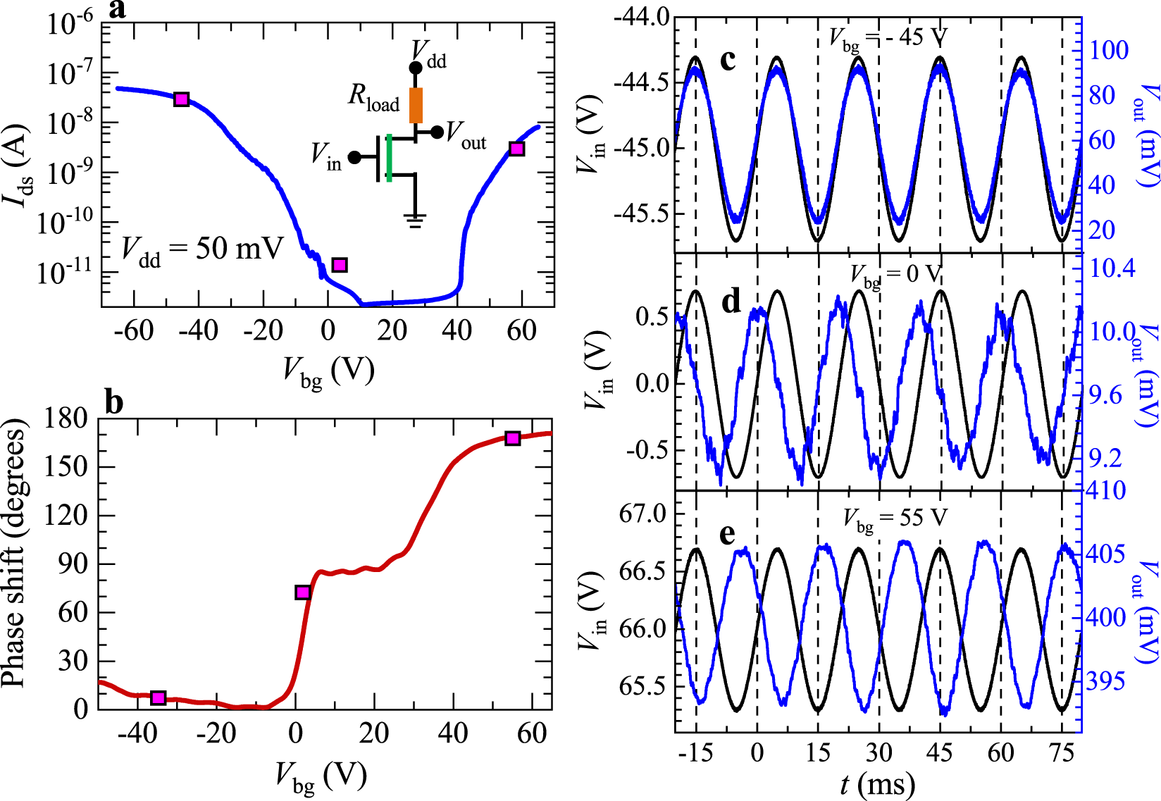
Phase-modulation based on a four-layer ambipolar ReSe2 FETs. (a) Ids as a function of Vbg for a few-layer ReSe2 field effect-transistor at T = 275 K. This trace was acquired under a drain supply voltage Vdd = 50 mV. Inset depicts the scheme of measurements where Rload is a load resistor and Vdd is the bias voltage. Vin-ac, which is a superposition of DC and AC (~1.5 V) biases, was applied to the back-gate while Vout corresponds to the read-out voltage. Magenta squares indicate the DC back-gate voltages chosen to superimpose an oscillatory AC signal to extract the relative phase-shift between Vin and Vout. (b) Relative phase shift as a function of Vbg. By increasing Vbg from negative values we tuned the phase-shift to 90° and then to ~180°. This is clearly illustrated by panels (c,d) and (e) which display Vin (black traces) and Vout (blue traces) as a function of time t for various gate voltages.