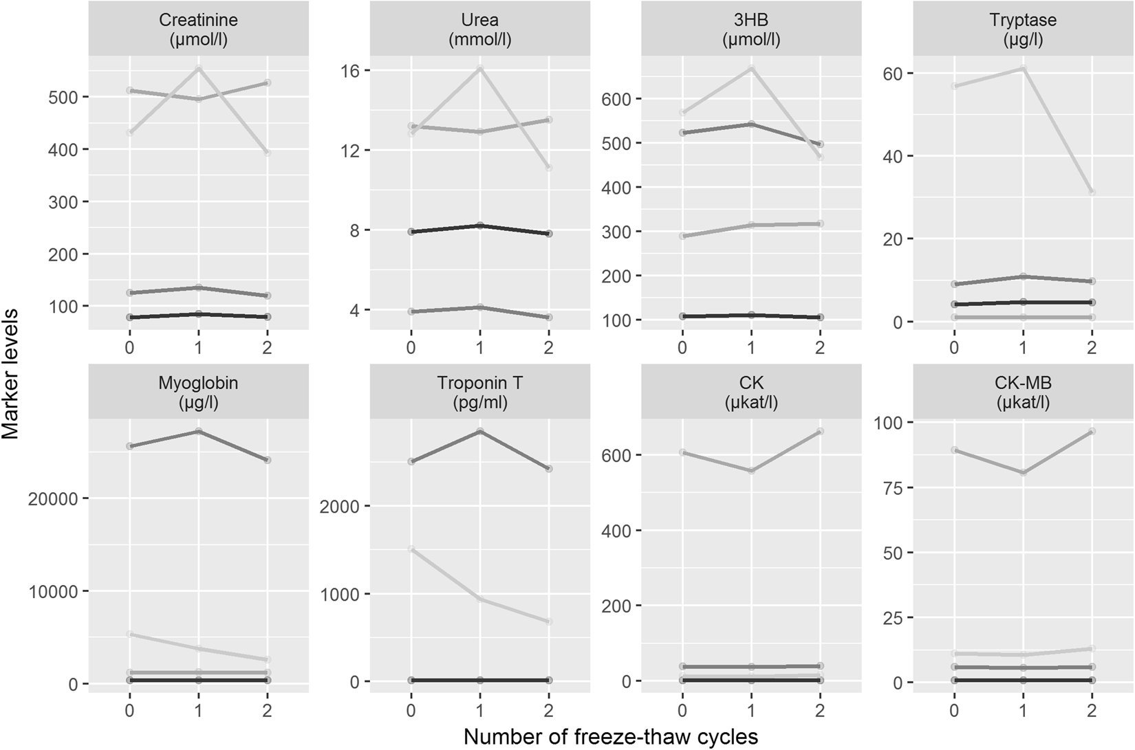
Figure 4

Laboratory results for three repeated freeze-thaw cycles, tested in the same four samples for all markers. 3HB, 3-β-hydroxybutyrate; CK, creatin kinase.

Laboratory results for three repeated freeze-thaw cycles, tested in the same four samples for all markers. 3HB, 3-β-hydroxybutyrate; CK, creatin kinase.