Figure 2
From: Single-electron charge sensing in self-assembled quantum dots

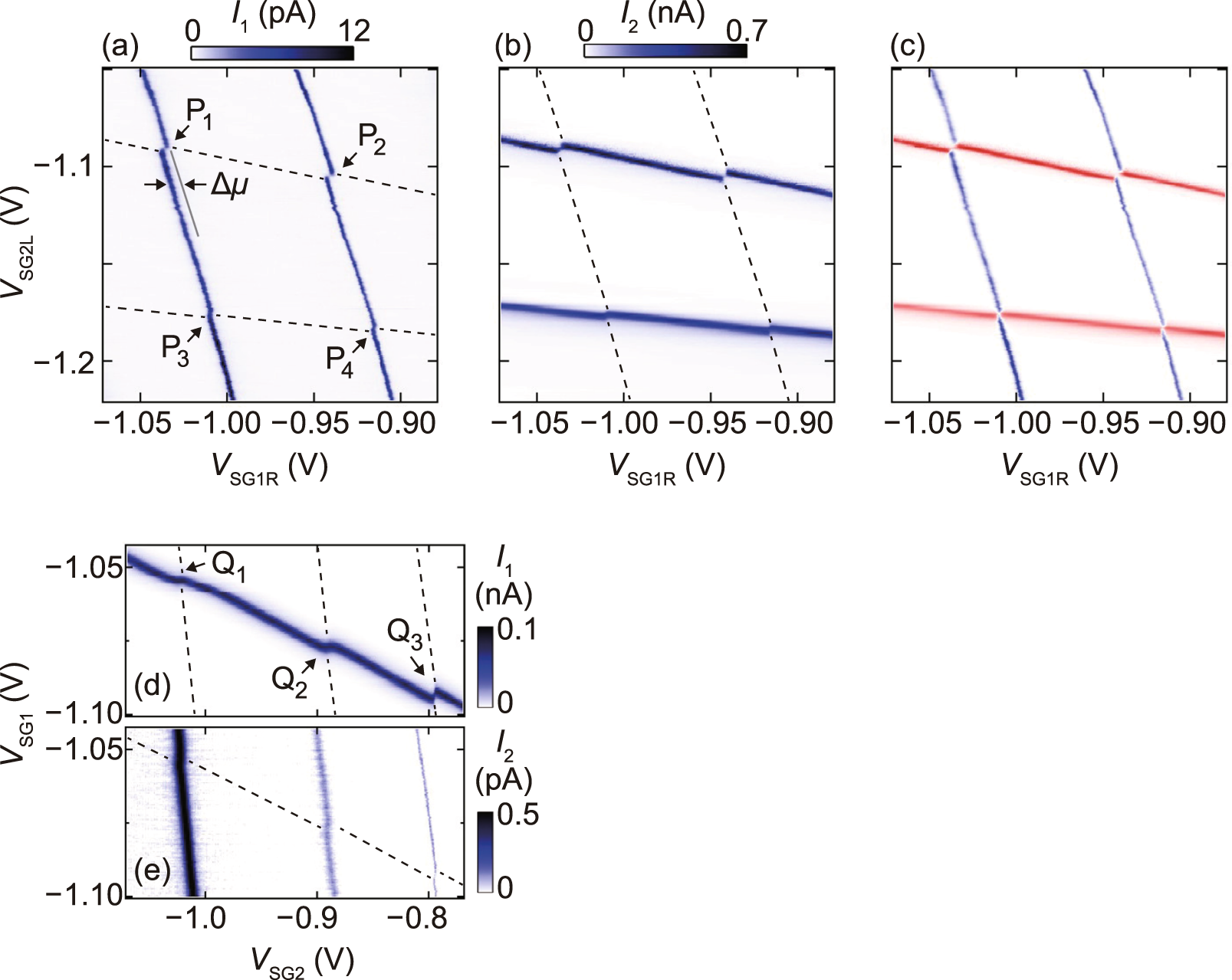
(a,b) Intensity plots of I1 (a) and I2 (b) in sample A as a function of VSG1R and VSG2L at VBG = 0 V and VSD1 = VSD2 = 70 μV. The dashed lines in (a) and (b) represent the positions of the Coulomb peak ridges in QD2 and QD1, respectively. Capacitive coupling between the two QDs and thus charge sensing features are observed at the gate voltage conditions denoted as Pj (j = 1–4), where the two ridges in different QDs intersect. (c) Superposition plots of (a) and (b) showing the honeycomb pattern. (d,e) Intensity plots of I1 (d) and I2 (e) in sample B as a function of VSG1 and VSG2 at VBG = 0 V and VSD1 = VSD2 = 70 μV, showing the charge sensing features at Qk (k = 1–3).