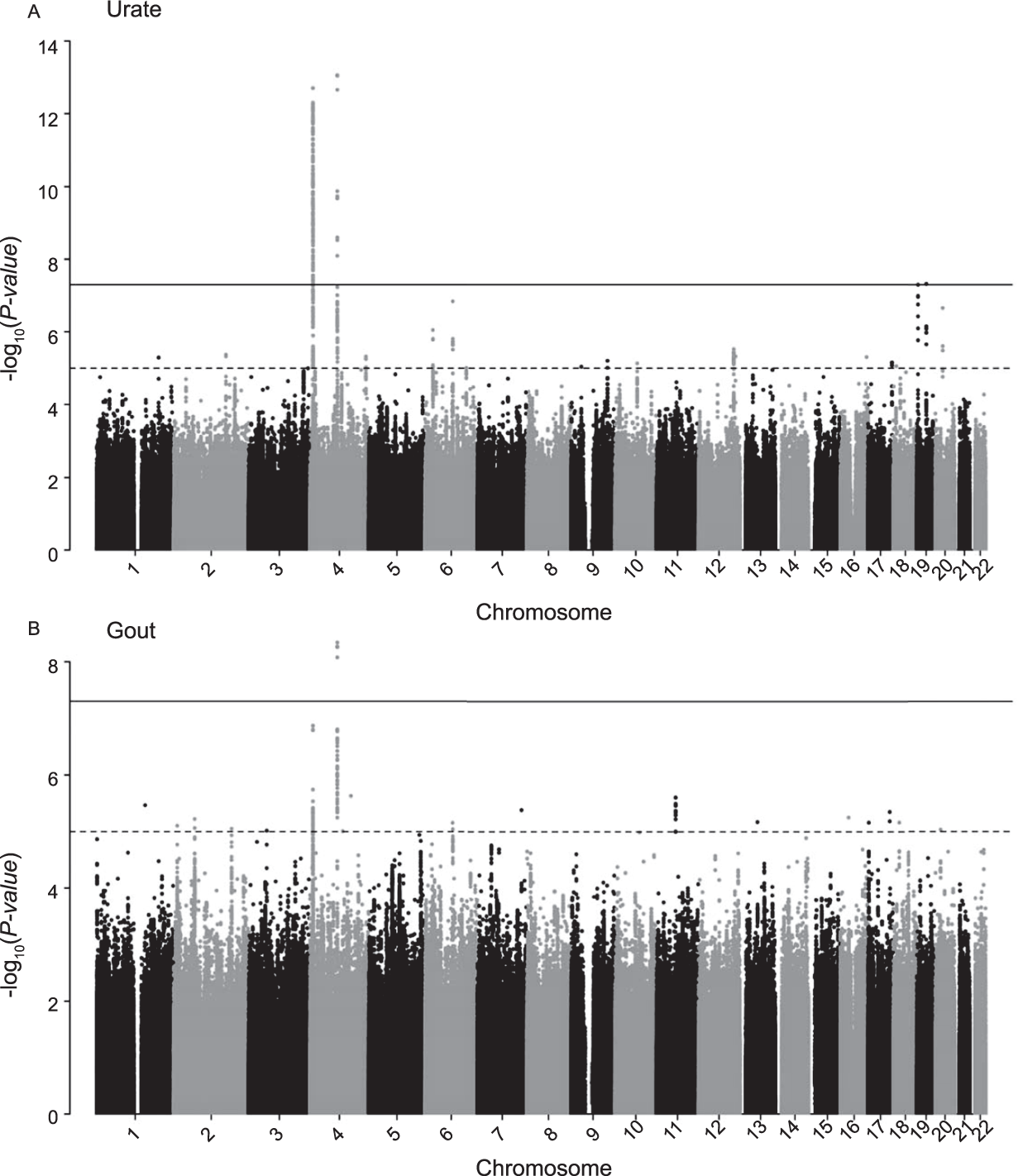
Figure 1

Manhattan plot for GWAS of serum urate (A) and gout (B) from the regression models. Y-axis: association p-values; x-axis: plotted SNPs by chromosomal position. Continuous line: genome-wide significance level (5E-8). Dashed line: suggestive significance level (1E-5). Data from 1000 Genomes imputation-based GWAS in CKD subjects of European-ancestry.