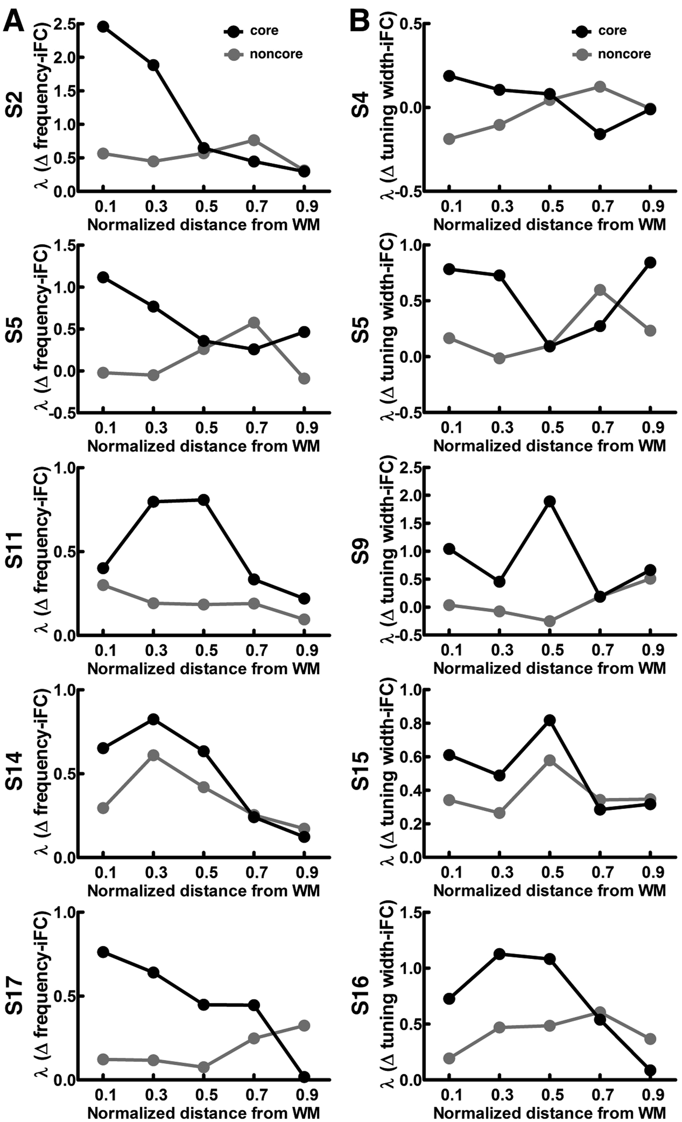
Figure 8

Selectivity of feature-dependent iFC in individual participants. (A) Profiles of λs in fitting the Δ frequency-iFC data from five representative participants are plotted in the same format as Fig. 7B. (B) Profiles of λs in fitting the Δ tuning width-iFC data from five representative participants.