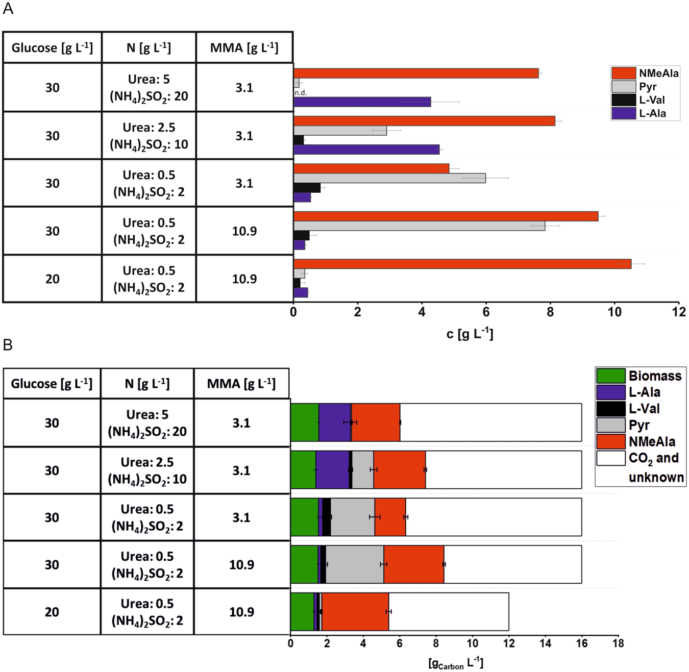
Figure 3

NMeAla, l-alanine, l-valine and pyruvate production data (A) and carbon balance (B) of C. glutamicum strain NMeAla1 under different conditions. Cells were cultivated in minimal medium CGXII containing 30 g L−1 or 20 g L−1 glucose and 16.6 g L−1 potassium acetate, 2 mm l-Ala and 1 mm IPTG for induction of gene expression. The nitrogen amount of the minimal medium was reduced to 50% or 10% respectively, the glucose and MMA amount were optimized to finally 20 g L−1 glucose and 10.9 g L−1 MMA. The culture supernatants were harvested after incubation for 72 h and analyzed by HPLC. (A) Concentrations are given as means with standard deviation of three replicates. n.d.: not detected. (B) To assess the fate of carbon from glucose and acetate as substrates their concentrations in gram carbon per liter is plotted. The gram carbon per liter concentrations of biomass formed (green) and of the formed products l-alanine (blue), l-valine (black), pyruvate (grey), and NMeAla (red) are plotted. For NMeAla, the carbon derived from MMA was not considered. The gram carbon per liter concentrations of CO2 and unknown byproducts are depicted in open columns. Amines < 0.1 g L−1 and carbohydrates < 0.5 g L−1 were not considered.