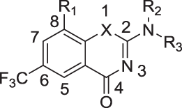
Table 1 Correlation between the kinetics of inactivation of Mtb-DprE1 with cellular potency by BTZs and BOZs.
A series of Nitrobenzothiazinones (Nitro-BTZs) | ||||
kinact/Ki (M−1 s−1) | 39 ± 2 | 17 ± 2 | 240 ± 16 | 340 ± 50 |
CLND Solubility (μM) | 370 | ≥450 | 90 | 11 |
MIC Mtb-H37Rv (n = 3) | 3.3 μM 1.2 μg/ml | 5.9 μM 2.1 μg/ml | 0.8 μM 0.31 μg/ml | 1.6 μM 0.6 μg/ml |
MIC M. vaccae 10670 (n = 1) | 1.1 μM 0.4 μg/ml | 8.6 μM 3.1 μg/ml | <0.13 μM <0.05 μg/ml | 0.5 μM 0.2 μg/ml |
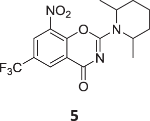
A series of Nitrobenzoxacinone (Nitro-BOZs) analogues of the Nitro-BTZs (above) | ||||
| ||||
kinact/Ki (M−1 s−1) | 5.6 ± 0.1 | 4.2 ± 0.1 | 7.7 ± 0.3 | |
CLND Solubility (μM) | ≥510 | ≥510 | 130 | |
MIC Mtb-H37Rv (n = 3) | 16 μM 5.3 μg/ml | 3.9 μM 1.4 μg/ml | 6.5 μM 2.4 μg/ml | |
MIC M. vaccae 10670 (n = 1) | 4.6 μM 1.6 μg/ml | 18 μM 6.2 μg/ml | 0.5 μM 0.2 μg/ml | |
The most potent Nitro-BTZs and Nitro-BOZ | ||||
|
|
| ||
kinact/Ki (M−1 s−1) | 720 ± 20 | N.A.c | 300 ± 40 | |
CLND Solubility (μM) | 32 | 32 | 12 | |
MIC Mtb-H37Rv (n = 3) | 2.3 nM 1 ng/ml | 0.42 nM 0.19 ng/ml | 310 nM 0.14 μg/ml | |
MIC M. vaccae 10670 (n = 1) | 1 nM 0.4 ng/ml | N.D. | <110 nM <0.05 μg/ml | |
Reduced forms of nitro-BTZs | ||||
| ||||
Redox status relative to Nitro-BTZs | 2-electron reduced | 4-electron reduced | 2-electron reduced | |
kinact/Ki (M−1 s−1) | N.A.a | N.A.b | 39 ± 1 | |
CLND Solubility (μM) | 250 | 10 | 210 | |
Mtb-H37Rv MIC (n = 3) | 82% Inhibition at 80 μM | >80 μM | 67% Inhibition at 0.16 μM | |
M. vaccae 10670 MIC (n = 1) | 73 μM 25 μg/ml | 18 μM 6.2 μg/ml | 0.06 μM 0.03 μg/ml | |








