Figure 3
From: A Novel Non-contact Heart Rate Monitor Using Impulse-Radio Ultra-Wideband (IR-UWB) Radar Technology

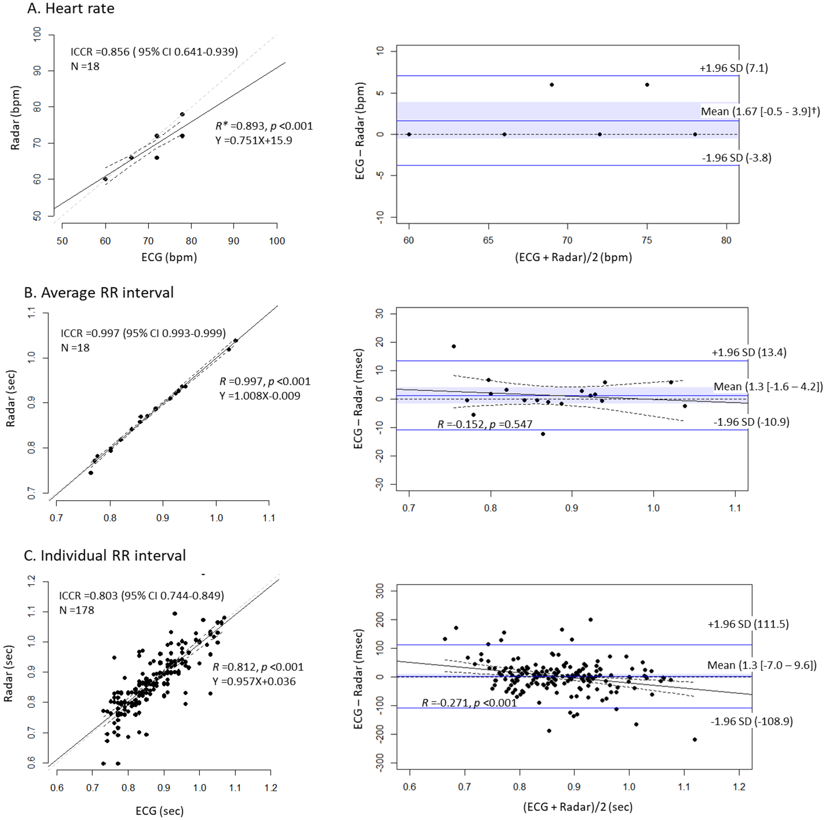
Comparison of heart rate and RR intervals between ECG and radar in the healthy volunteers with NSR Heart rate (A), average RR interval (B) and individual RR intervals (C) measured with IR-UWB radar highly agreed with those measured with ECG. The mean biases were not significant in any of the 3 parameters. There was a proportional difference in the individual RR intervals between ECG and radar. *All Rs were derived from Pearson’s correlation tests. †The blue ribbons and the numbers inside the brackets indicate 95% confidence intervals of the mean bias between ECG and radar measurements. ECG, electrocardiography; ICCR, intraclass correlation coefficient R; SD, standard deviation.