Figure 5
From: Impact of energy dissipation on interface shapes and on rates for dewetting from liquid substrates

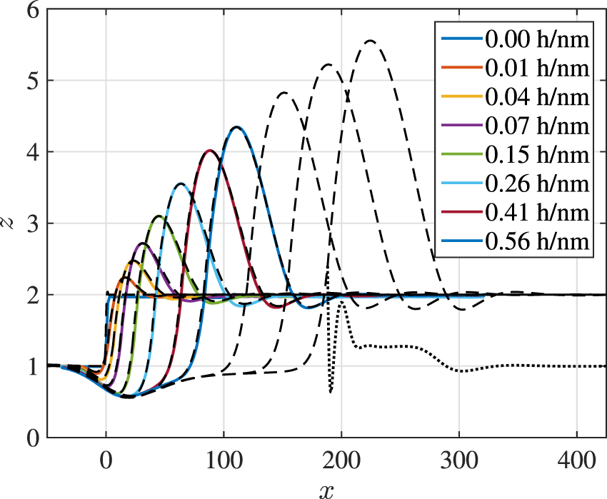
Experiments (full lines) and theory (dashed lines) for film thickness ratio \({\bar{h}}_{\ell }:{\bar{h}}_{{\rm{s}}}\approx \mathrm{1:1}\) and film thicknesses \({\bar{h}}_{\ell }=256\,{\rm{nm}}\) at different times using a series of in-situ scans of upper PS-air and PMMA-air interface. The three additional theoretical profiles are at t = 0.84, 1.13, 1.41 h/nm, where the dotted line shows the PS-PMMA of the latest profile.