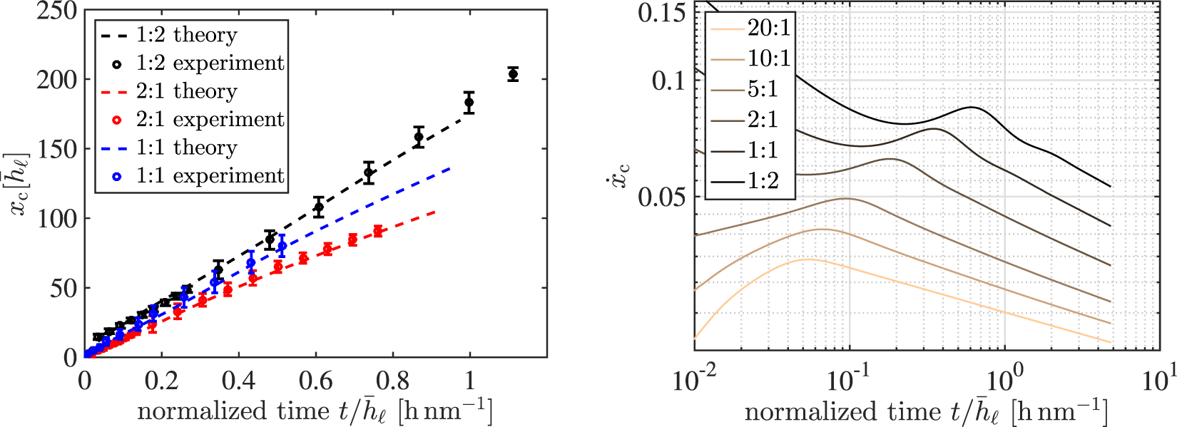
Figure 7
From: Impact of energy dissipation on interface shapes and on rates for dewetting from liquid substrates

(left) Non-dimensional dewetted distance xc for thickness ratios \({\bar{h}}_{\ell }:{\bar{h}}_{{\rm{s}}}\approx \mathrm{1:1}=\mathrm{(248}\pm \mathrm{2)}\) \({\rm{nm}}\mathrm{:(256}\pm \mathrm{2)}\,{\rm{nm}}\) and \({\bar{h}}_{\ell }:{\bar{h}}_{{\rm{s}}}\approx \mathrm{2:1}=\mathrm{(89}\pm \mathrm{2)}\,{\rm{nm}}\mathrm{:(44}\pm \mathrm{2)}\,{\rm{nm}}\) and \({\bar{h}}_{\ell }:{\bar{h}}_{{\rm{s}}}\approx \mathrm{1:2}=\mathrm{(47}\pm \mathrm{1)}\,{\rm{nm}}\mathrm{:(90}\pm \mathrm{2)}\,{\rm{nm}}\) from experiment and numerical simulation suggesting constant dewetting rates \({\dot{x}}_{{\rm{c}},\mathrm{1:1}}\approx 4.4\cdot {10}^{-2}\,{\rm{nm}}/{\rm{s}}\) and \({\dot{x}}_{{\rm{c}},\mathrm{2:1}}\approx 3.0\cdot {10}^{-2}\,{\rm{nm}}/{\rm{s}}\) and \({\dot{x}}_{{\rm{c}}\mathrm{,1:2}}\approx 5.2\cdot {10}^{-2}\,{\rm{nm}}/{\rm{s}}\), where longer simulation times (right) reveal that rates \({\dot{x}}_{{\rm{c}}}\) decrease depending on details such as the aspect ratio.