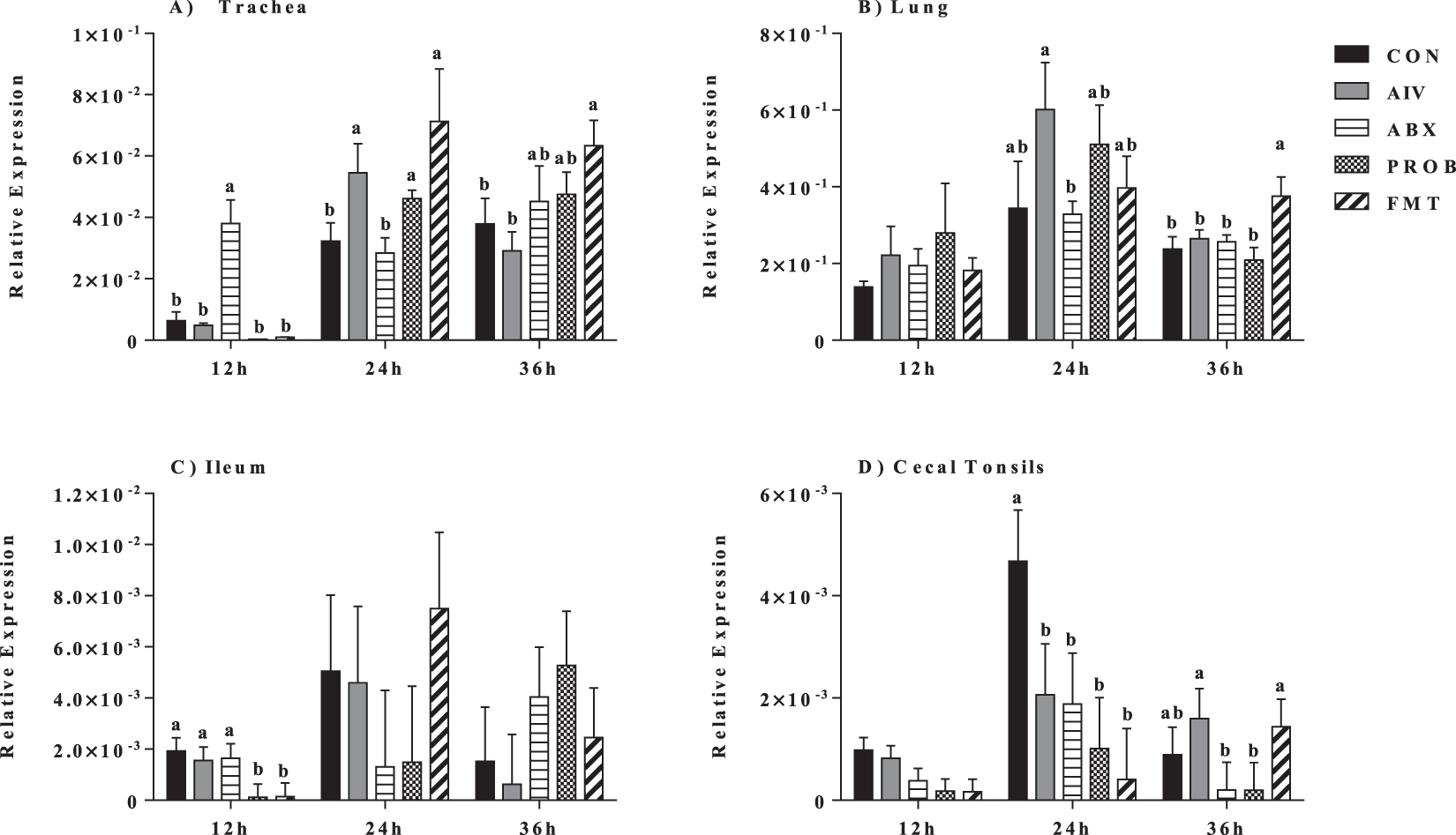
Figure 4

Relative expression of IFN-α in the trachea, lung, ileum and cecal tonsils. Samples (n = 6) were collected at 12 h, 24 h and 36 h post infection, and mRNA expression relative to β-actin was measured using quantitative real-time PCR. Bars with different letters at a time point differ significantly from each other (P < 0.05).