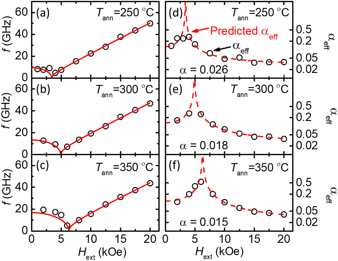
Figure 5

Results for f (a–c) and αeff (d–f), on a log scale, for individual samples (excluding the 400 °C sample, which is discussed in Fig. 4). The fitting for f is shown as a solid red line. The dashed line in (d–f) indicates the predicted αeff from the values of α extracted from fitting 1/τ. All three samples are measured at θH = 90°.