Figure 5
From: The gastric mucosal-associated microbiome in patients with gastric polyposis

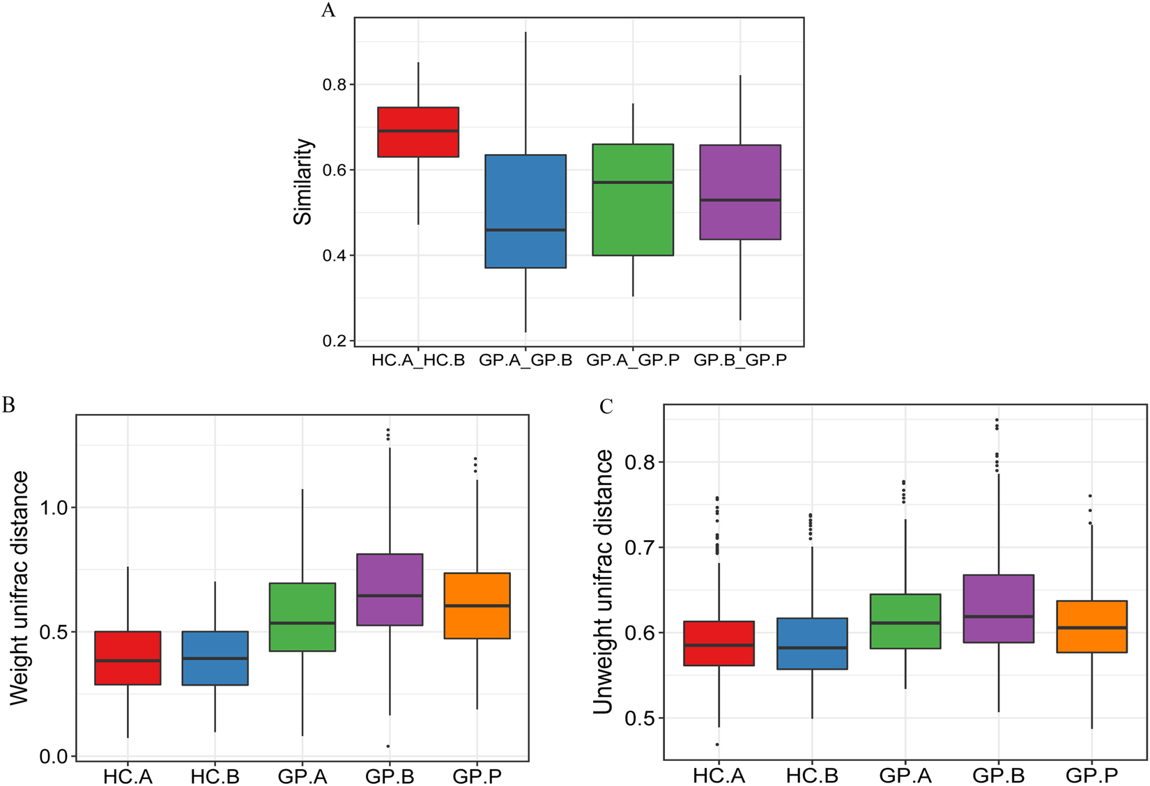
Community similarity analysis. (A) Similarity index of gastric bacterial communities in the biopsy samples between HC groups and GP groups respectively; (B) weighted and (C) unweighted unifrac distance of gastric bacterial communities in the samples among HC.A, HC.B, GP.A, GP.B and GP.P. HC: healthy controls; GP: gastric polyposis.