Figure 5
From: Multiridge Method for Studying Ground-Deformation Sources: Application to Volcanic Environments

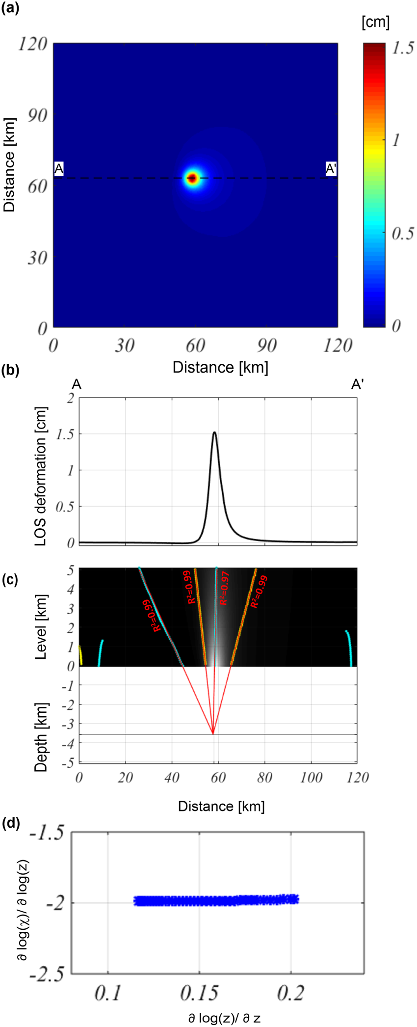
Multiridge and ScalFun methods: LOS-projected Mogi model evaluated at a constant reduction level. (a) Descending LOS modeled deformation map retrieved on a 1.5-km flat surface a.s.l.; the original data level is represented by the Okmok volcano topography. The black dashed line indicates the position of the AA’ trace. (b) The LOS deformation profile evaluated along the AA’ trace. (c) The results of the Multiridge method applied to the AA’ noise profile; the red solid lines, which represent the regression lines, estimate the source position at their intersection, and the black solid line indicates the real source depth. For each regression line we indicate the coefficient of determination (R2); (d) the results of the ScalFun method applied to the central cyan multiridge subset reported in (c), where \(\chi \) represents the value of the field corresponding to the selected ridge.