Figure 4
From: Toward high-fidelity coherent electron spin transport in a GaAs double quantum dot

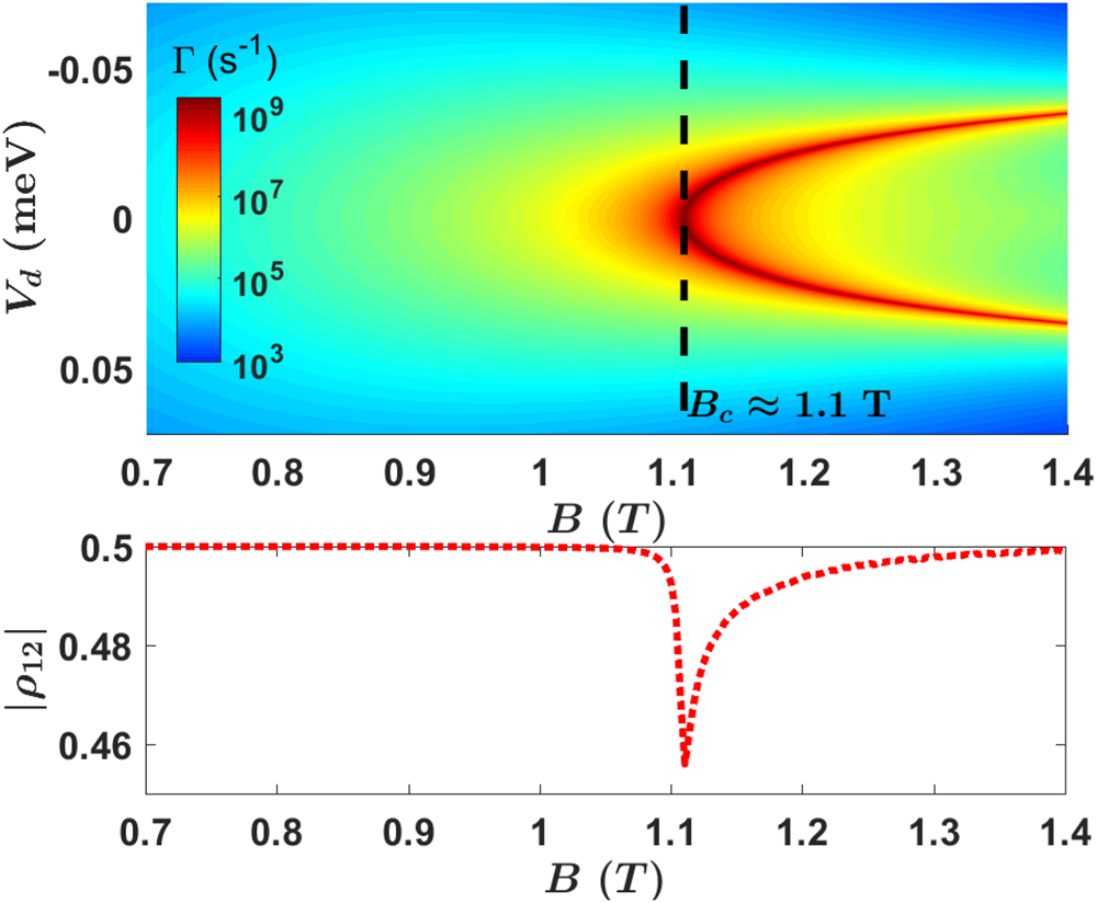
Upper panel: Spin relaxation rate as a function of the applied electric and magnetic field. Interdot detuning Vd = 2eEd with d = 48 nm. Lower panel: The actual residue coherence after the transport in 1 ns.