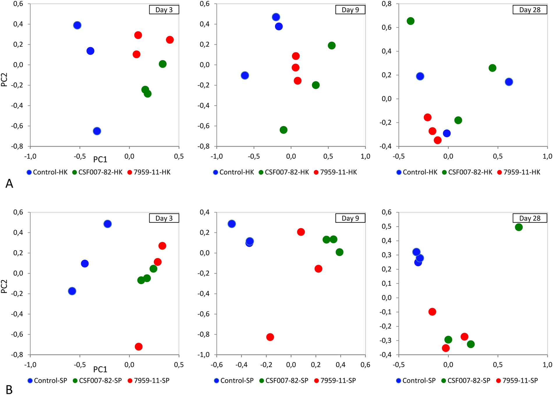
Figure 2

Principle component analysis of head kidney and spleen samples. Two dimensional map of the principal component PC1–PC2 showed all three replicates of three groups (Control, CSF007-82-infected and 7959-11-infected) in a plot at 3, 9 and 28 days post exposure. (A) Head kidney proteins; B: spleen proteins.