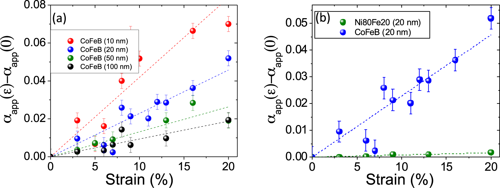
Figure 10
From: Origin of relationship between ferromagnetic response and damage in stretched systems

(a) Evolution of the apparent damping αapp as a function of the previously applied strains for CoFeB films. (b) Variation of αapp as a function of the previously applied strains for 20 nm films of both materials (CoFeB and Ni80Fe20).