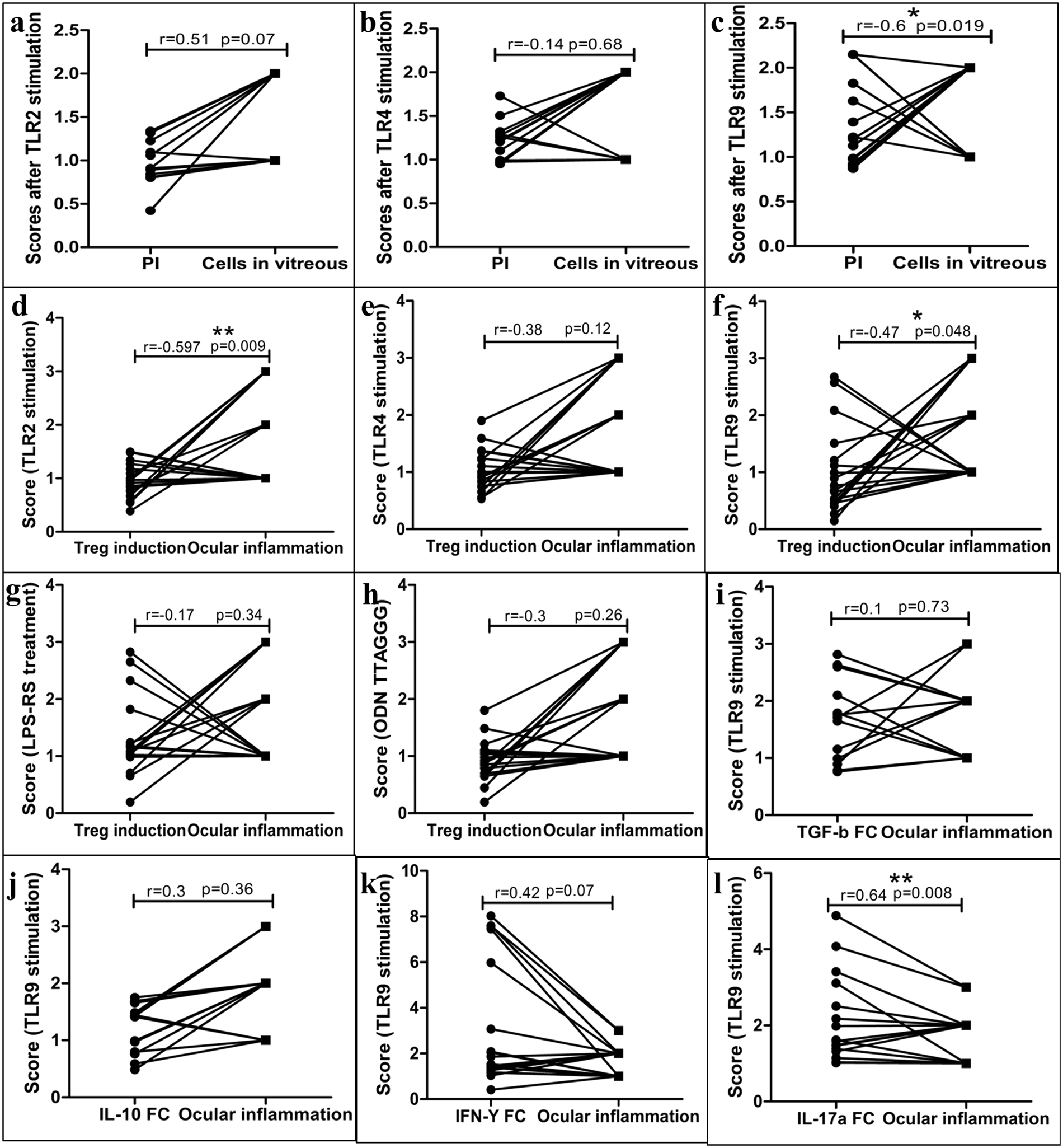
Figure 6

Correlation between TLR mediated CD4+ Teff cell responses and ocular inflammation in IOTB. The correlation between various CD4+ Teff cell function and ocular inflammation was assessed using Pearson correlation test. Ocular inflammation did not show a correlation with Teff cell proliferation after (a) TLR2 stimulation by Pam2CSK4 (r = 0.51, p = 0.07) or (b) TLR4 stimulation using LPS (r = −0.14, p = 0.68). In contrast, proliferation after TLR9 stimulation using ODN 2216 was negatively associated with ocular inflammation (r = −0.6, p = 0.019). Ocular inflammation observed in IOTB was negatively associated with induction of Tregs after (d) TLR2 stimulation (r = −0.597, p = 0.009), but not after (e) TLR4 stimulation (r = −0.38, p = 0.12). (f) Induction of Tregs after TLR9 stimulation showed a negative correlation with ocular inflammation (r = −0.47, p = 0.048). There was no association between ocular inflammation and induction of Tregs after treatment with (g) TLR4 antagonist LPS-RS (r = −0.17, p = 0.34) or (h) TLR9 antagonist ODN TTAGGG (r = −0.3, p = 0.26). The comparison of ocular inflammation with cytokine expression in CD4+ Teff cells after TLR9 stimulation showed that ocular inflammation was not associated with expression of anti-inflammatory cytokines including (i) TGF-β (r = 0.1, p = 0.73) or (j) IL-10 (r = 0.3, p = 0.36). However it showed (k) no association with IFN-γ expression (r = 0.42, p = 0.07) but (l) a positive association with IL-17A expression (r = 0.64, p = 0.008).