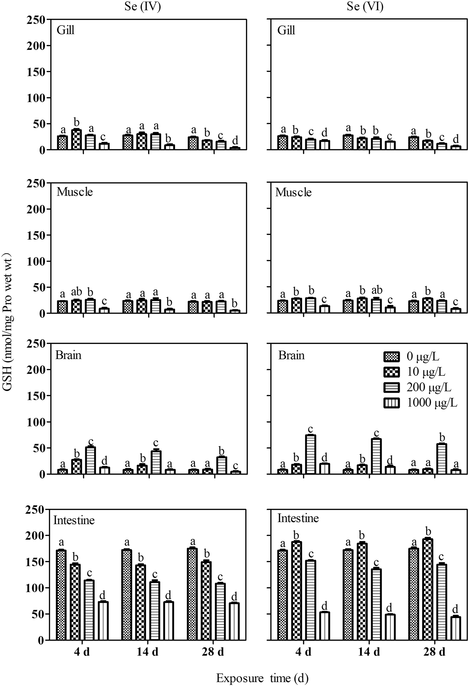
Figure 4

Response of glutathione (GSH) in different tissues of P. parva (n = 6) exposed to different concentrations of Se(IV) and Se(VI). Within each concentration dependent variable, values with different letters are significantly different (p < 0.05).