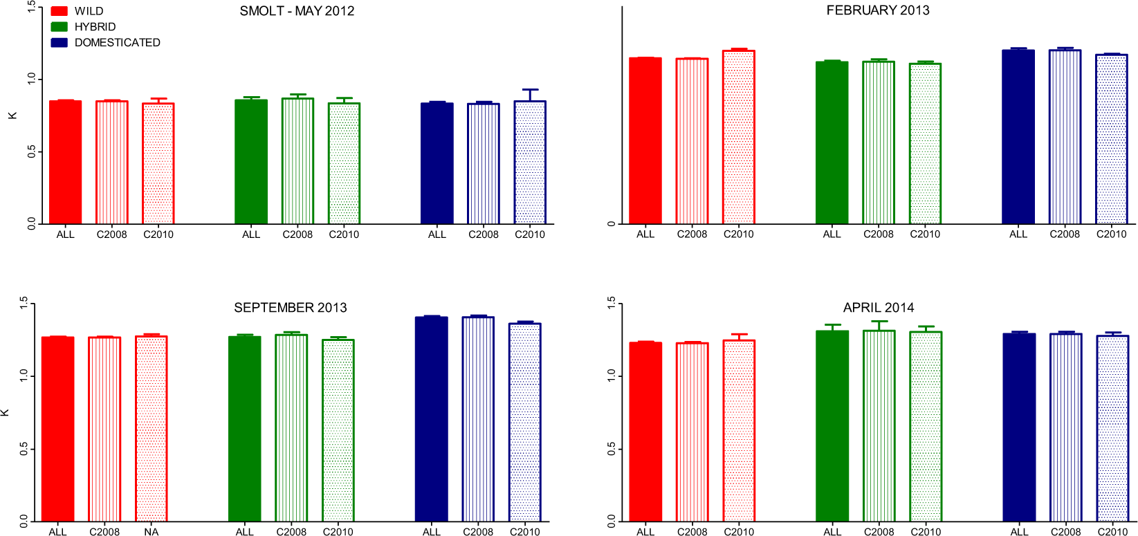
Figure 3

Mean condition factor of wild, hybrid and domesticated salmon sampled at timepoint 1 (May 2012, sampled in the river, age 2–4 years), and timepoints 2–4 (February 2013-April 2014, sampled in fish tanks, age 3–6 years). Error bars show the standard error.