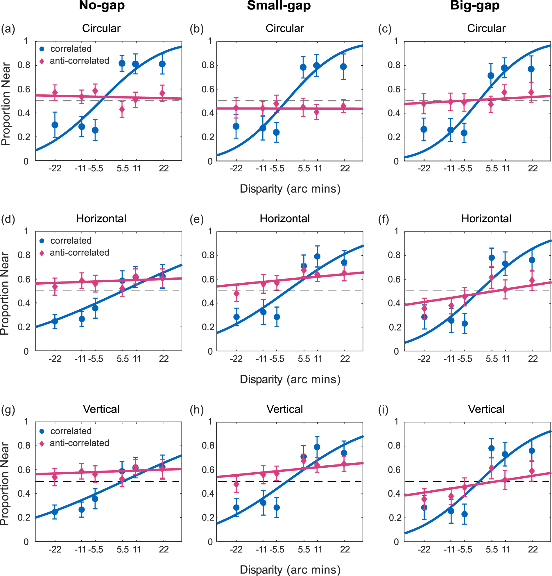
Figure 7
From: First- and second-order contributions to depth perception in anti-correlated random dot stereograms

Mean proportion of near responses as a function of disparity for stimuli with no-gap (left), small-gap (middle) and big-gap (right). Circular results are shown in (a–c), Horizontal results in (d–f) and Vertical results in (g–i). Separate plots chart the responses to anti-correlated (pink) and correlated (blue) stimuli. The dashed line for each plot reflects performance at chance, uncrossed and crossed disparities are shown with negative and positive values. Error bars are ±1 standard error of the mean.