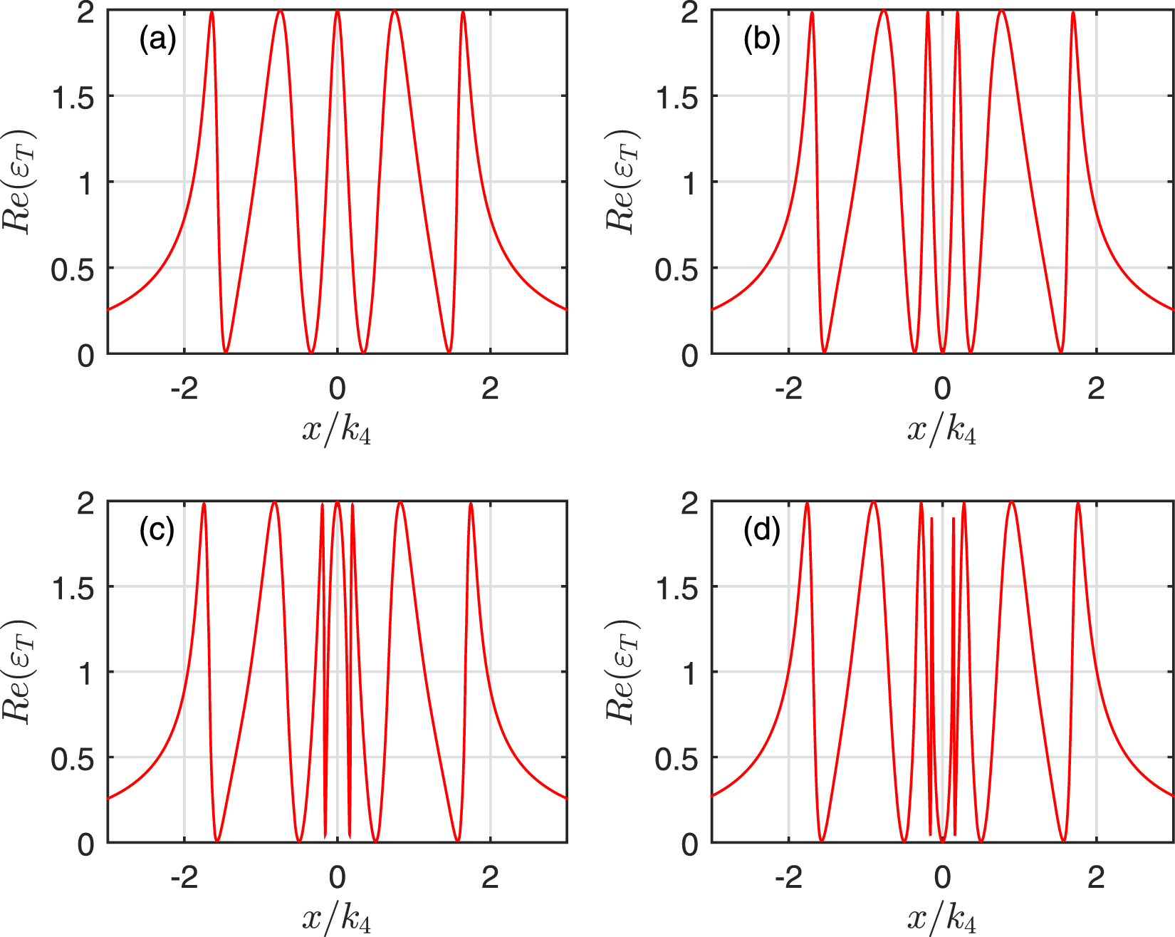
Figure 2

The absorption Re(εT) as a function of x/κ4 for four cavities. The subplot (a) corresponds to one mechanical oscillator coupled to cavity 1, the subplot (b) describes two mechanical oscillators coupled to cavity 1 and 2, respectively. The subplot (c) shows three mechanical oscillators coupled to cavity 1, 2 and 3. The subplot (d) illustrates four mechanical oscillators coupled to cavity 1, 2, 3 and 4.