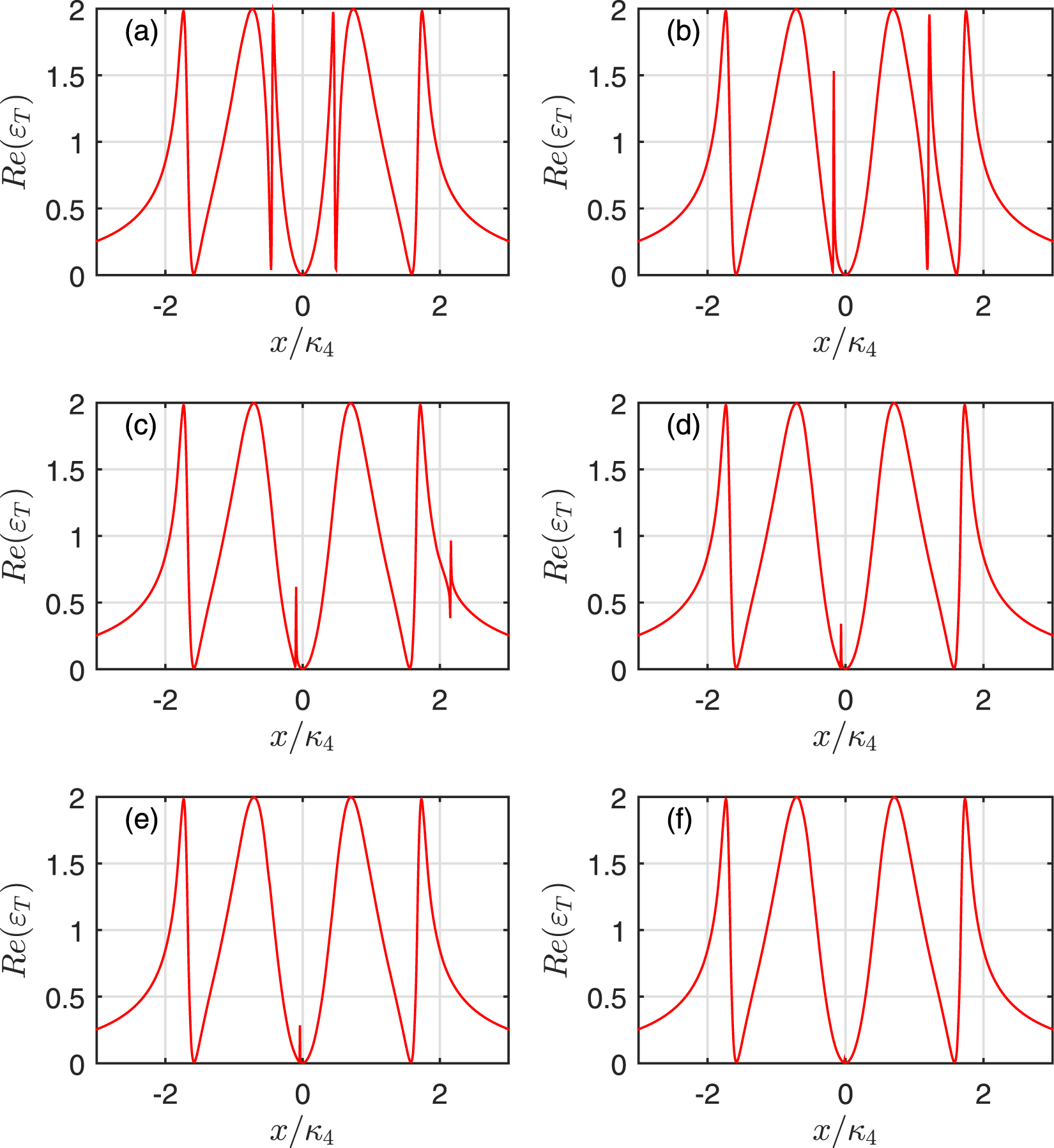
Figure 6

The absorption Re(εT) as a function of x/κ4. (a–d) Describe the cases of two Rydberg atoms trapped in 2nd cavity coupled with a mechanical oscillator, and correspond to DDI with different strengthes V(R)/gmj = (0, 2, 4, 6, 10, 30), respectively.