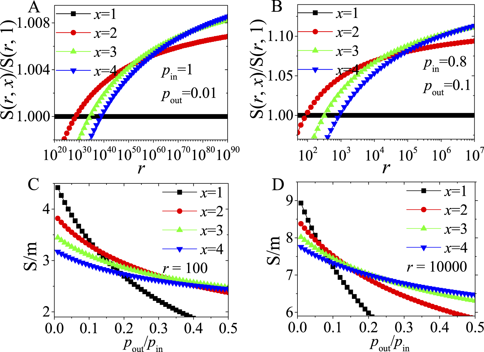
Figure 3
From: Critical analysis of (Quasi-)Surprise for community detection in complex networks

(A,B) Relation between S and r for distinct x-values, normalized by the S-values of the pre-defined partition. (C,D) Relation between S and pout/pin for distinct x-values, normalized by the number m of edges in the networks.