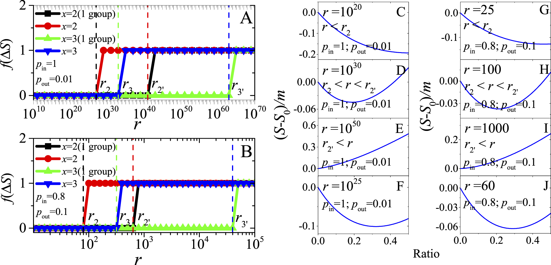
Figure 5
From: Critical analysis of (Quasi-)Surprise for community detection in complex networks

(A,B) Critical points of communities merging in the networks with different parameters. r is the number of dense subgraphs (i.e. predefined communities). ΔS denotes the increment of S. For illustration of the critical points, define the function f as f(ΔS > 0) = 1 and f(ΔS > 0) = 0. “x = 2(1 group)” denotes the partitions where there are only 2 dense subgraphs merging into 1 group, generating a community with 2 dense subgraphs, and other dense subgraphs are considered to be separated communities. (C–J) For Quasi-Surprise, the longitudinal coordinates are the increment of S, normalized by the number of edges in the networks, where S0 is the S-value of the original partition. And the horizontal ordinates are the ratio of the number of communities with 2 dense subgraphs to the number of dense subgraphs in the networks (denoted by Ratio).