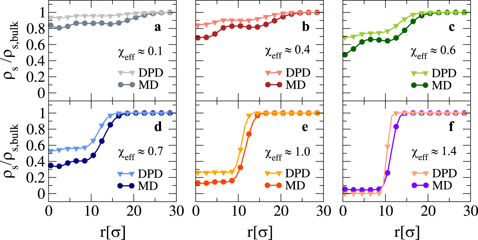
Figure 5

Solvent density profiles for a loose microgel configuration across the VPT. We show the solvent density profile ρs normalized by the bulk solvent density ρs,bulk, as a function of the distance r from the center of mass of the microgel. Circles and triangles refer to MD and DPD solvent, respectively. Each sub-panel refers to a different swelling state according to Fig. 2(a).