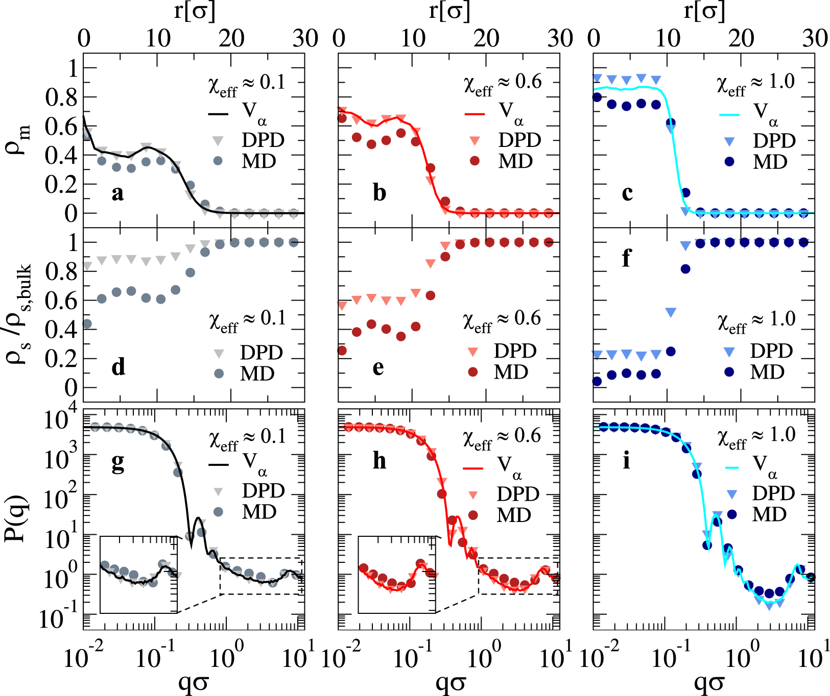
Figure 6

Microgel density profiles, solvent density profiles and form factors for a compact microgel across the VPT. (a–c) Microgel density profiles ρm as a function of the distance r from the center of mass of the microgel; (d–f) solvent density profiles ρs normalized with respect to the solvent bulk density ρs,bulk as a function of r; (g–i) microgel form factors as a function of the wavenumber. Data are reported for a swollen state (χeff = 0.1), a state close to the VPT (χeff = 0.6) and a compact state (χeff = 1.0). Full lines refer to the implicit solvent (Vα), while symbols are used for DPD (triangles) and MD (circles). The insets in panels g and h show an enlargement of the high wavevector region where solvent-monomer excluded volume interactions induce an excess of signal for the MD data.