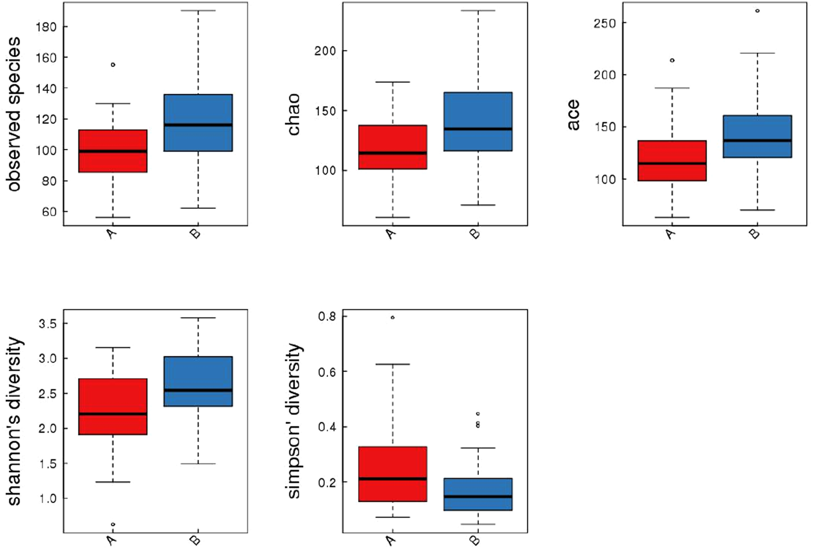
Figure 1
From: A study of the correlation between obesity and intestinal flora in school-age children

Box-plot of α diversity of the obesity group and the control group. Red boxes represent the obesity group, and blue boxes represent the control group.