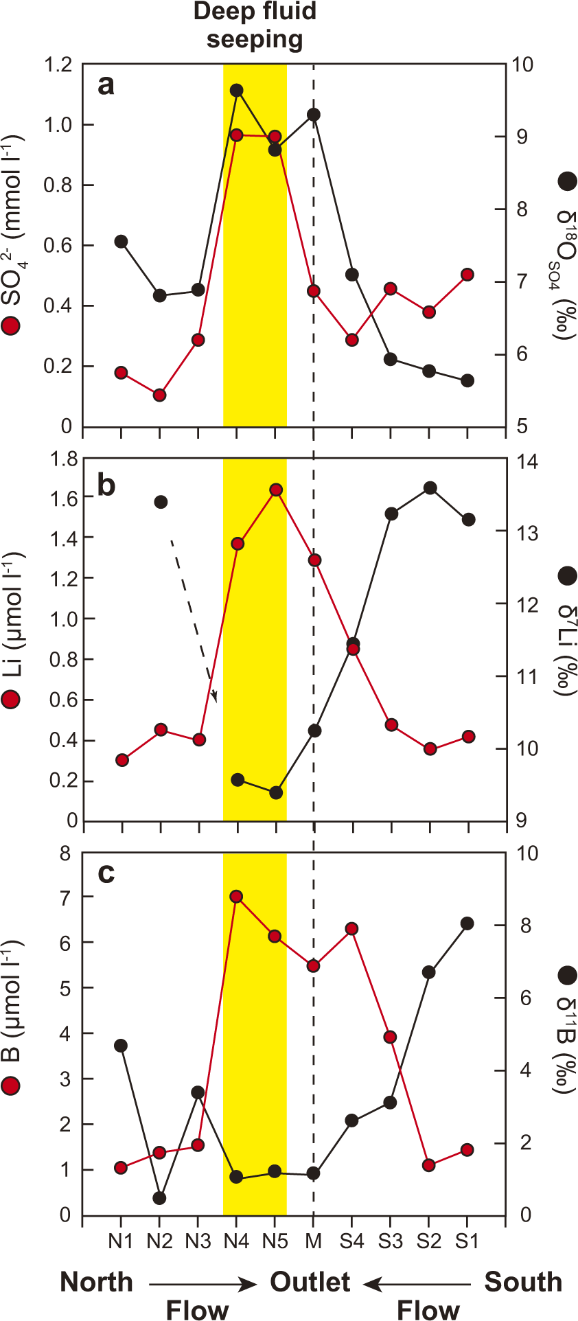
Figure 4

Impact of deep fluid seeping on Aso caldera’s hydrochemistry. (a) δ18OSO4 and [SO42−], (b) δ7Li and [Li], and (c) δ11B and [B] evolution along the flow-path of the northern (N1 to N5) and southern (S1 to S4) Aso rivers and at the outlet of the caldera (M). See Fig. 1a for the sampling locations. The yellow band between sample locations N4 and N5 represents the northeastern area of the caldera where seeping of deep fluids occurs.