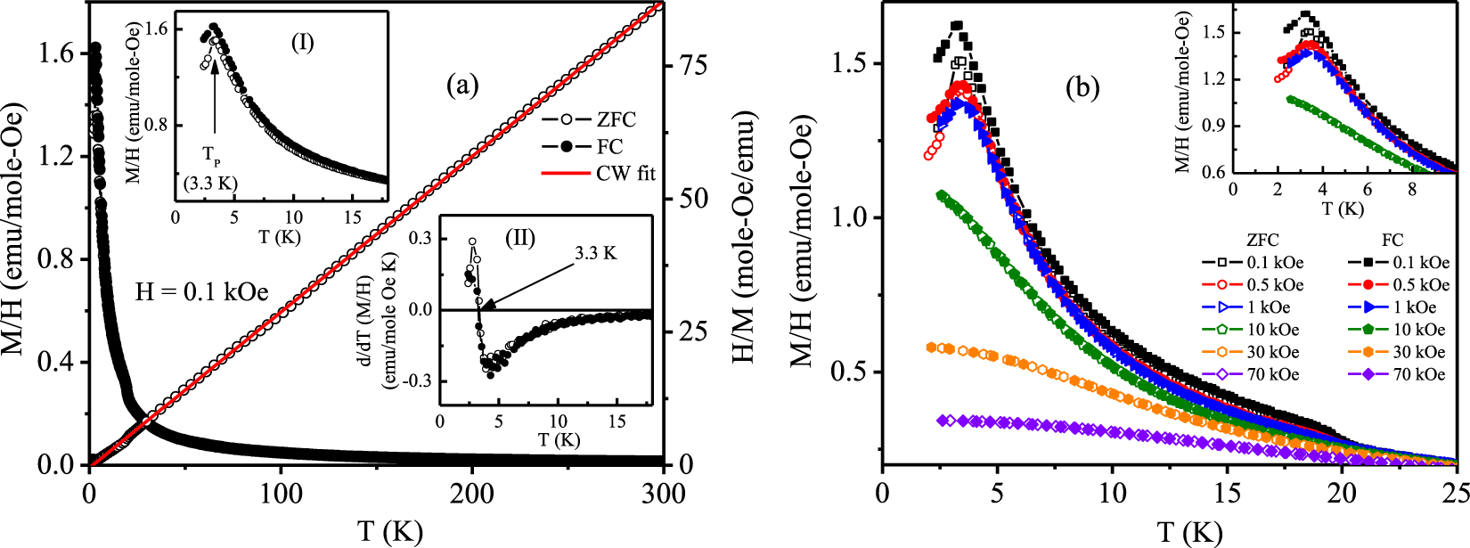
Figure 5

(a) ZFC and FC dc magnetization (M/H) (left panel) and inverse ZFC magnetic susceptibility (H/M) (right panel) as a function of temperature for Pr2Ni0.95Si2.95 at an applied magnetic field of 0.1 kOe. Inset (I): expanded low temperature region of ZFC and FC magnetic susceptibility. Inset (II) shows temperature derivative of ZFC and FC susceptibility as a function of temperature. (b) M/H(T) for different applied magnetic fields. Inset shows expanded low temperature region.